VEB Motorradwerk Zschopau (Herausgeber)(1957):

Reparaturhandbuch für die MZ-Motorräder ES 175 und ES 250

Vorwort

Die Krafträder aus dem volkseigenen Motorradwerk in Zschopau werden unter Verwendung von bestgeeignetem Material und nach den neuesten Konstruktionsrichtlinien hergestellt. MZ-Motorräder sind bekannt als wirtschaftliche und zuverlässige Kraftfahrzeuge. Diese stete Einsatzbereitschaft ist natürlich abhängig von einer regelmäßigen, fachmännischen Überwachung sowie einer ordnungsgemäßen Instandsetzung und sorgfältigen Pflege.

Das Werk ist daran interessiert, daß sämtliche Krafträder, die in Zschopau gebaut wurden, ihren Besitzern recht lange in einem guten und zuverlässigen Zustand erhalten bleiben. Mit Hilfe des ausgedehnten Netzes von Vertragswerkstätten wird es möglich, den Wert eines jeden MZ-Kraftrades durch fachgemäße Instandsetzung unter Verwendung von Original-Ersatzteilen recht lange zu erhalten.

Trotz ordnungsgemäßer Pflege und Einhaltung aller vom Werk herausgegebenen Vorschriften werden sich Reparaturfälle nicht vermeiden lassen. Das vorliegende Reparaturhandbuch soll den Vertragswerkstätten helfen, bei den wichtigsten anfallenden Reparaturen schnell und mit dem geringsten Zeitaufwand ordnungsgemäß arbeiten zu können. Es soll außerdem Wiederholungsinstandsetzungen vermeiden, die außer erneuten Kosten für den Kunden einen nochmaligen Bedarf an Ersatzteilen erforderlich machen. Besonders wichtig ist die Verwendung von Spezialwerkzeugen zum Einbau der Original-Ersatzteile bei der Instandsetzung der MZ-Krafträder. Mit Hilfe dieser Werkzeuge ist es möglich, die anfallenden Arbeiten mit geringstem Zeitaufwand und größter Präzision auszuführen. Jede Vertragswerkstatt muß bemüht sein, nur mit diesen Spezialwerkzeugen, die sich zum Teil selbst anfertigen lassen, zu arbeiten.

Ein besonders gutes Hilfsmittel soll dieses Reparaturhandbuch unseren Vertragswerkstätten bei der Ausbildung der Nachwuchskräfte sein. Jeder Angehörige einer Vertragswerkstatt des MZ-Werkes muß sich der wichtigen Aufgabe bewußt sein, welche ihm im Rahmen unserer Gesamtwirtschaft und bei der Erhaltung wertvollen Volksvermögens zukommt. Er soll stets bedenken, daß er durch seine einwandfreie Arbeit die Ergänzung zu den Bemühungen gibt, mit denen Konstrukteure, Techniker und Arbeiter der volkseigenen Industrie die Fahrzeuge bauten, die ihm zur Reparatur anvertraut werden.


VEB Motorradwerk Zschopau




Inhaltsverzeichnis


1    Allgemeine Beschreibung

2    Technische Daten MZ ES 175 und 250
2.1    Gruppe Motor
2.2    Gruppe Getriebe
2.3    Gruppe Fahrgestell

3     Leistungs- und Verbrauchsdiagramme

4    Baubeschreibung
4.1    Motor
4.1.1    Triebwerk
4.1.2    Zylinder
4.1.3    Kupplung
4.1.4    Vergaser
4.1.5    Zündung und Lichtmaschine
4.2    Getriebe
4.2.1    Schaltung
4.2.2    Übersetzungsverhältnisse der einzelnen Gänge
4.2.3    Kraftübertragung zum Hinterrad
4.3    Fahrgestell
4.3.1    Rahmen
4.3.2    Federung und Schwingenanordnung
4.3.3    Achsen und Räder
4.3.4    Bremsen
4.3.5    Sättel und Zubehör
4.3.6    Elektrische Anlage

5    Instandsetzungsanweisungen
5.1    Gruppe Motor
5.1.1    Motor ausbauen und einbauen
5.1.2    Zerlegen von Motor und Getriebe
5.1.2.1    Zylinder Demontage und Montage
5.1.2.2    Pleuelbuchse auswechseln
5.1.2.3    Zylinder und Kolben messen und prüfen
5.1.2.4    Kurbelwelle überprüfen und nachmessen
5.1.2.5    Auspuffanlage
5.1.3    Motor und Getriebe zusammensetzen
5.1.4    Kupplung ausbauen und überholen
5.1.4.1    Wechsel der Kupplungslamellen
5.1.4.2    Wechsel des großen Antriebszahnrades
5.1.4.3    Kickstarterkurbel und Feder ausbauen
5.1.5    Arbeiten an der Lichtmaschine und an der elektrischen Anlage des Motors
5.1.5.1    Ausbau der Lichtmaschine
5.1.5.2    Pflege von Lichtmaschine und Unterbrecher
5.1.5.3    Auswechseln des Reglers
5.1.5.4    Ausbau der Zündspule
5.1.5.5    Einstellen der Zündung
5.1.5.6    Zündungsstörungen, ihre Ursache und Behebung
5.1.6    Arbeiten am Vergaser
5.1.6.1    Vergaser ausbauen und einbauen
5.1.6.2    Vergaser zerlegen und überholen
5.1.6.3    Einzelteile des Vergasers
5.1.6.4    Einstellung des Leerlaufes
5.1.6.5    Vergasereinstellungen der ES 250 und ES 175
5.1.7    Allgemeines über Mischungsschmierung
5.2    Gruppe Getriebe
5.2.1    Wechsel von Antriebskettenrad, Tachoantrieb und Leerlaufanzeige
5.2.1.1    Wechsel des Antriebskettenrades
5.2.1.2    Ausbau des Tachoantriebes
5.2.1.3    Ausbau des Leerlauf-Anzeigekontaktes
5.3    Gruppe Fahrgestell
5.3.1    Rahmen, Vorderträger und Sattelträger
5.3.1.1    Auswechseln des Vorderkotflügels u. des Vorderträgers
5.3.1.2    Auswechseln des Hinterkotflügels u. des Sattelträgers
5.3.1.3    Ausbau des Fahrer- und Soziussattels
5.3.1.4    Nachstellen des Lenkungslagers
5.3.2    Schwingenanordnung
5.3.2.1    Auswechseln der Vorderschwinge
5.3.2.2    Auswechseln der Hinterschwinge
5.3.3    Federbeine mit hydraulischer Dämpfung
5.3.3.1    Ausbau und Einbau der Federbeine vorn und hinten
5.3.3.2    Zerlegen eines Federbeines
5.3.3.3    Zusammenbau und Füllen eines Federbeines
5.3.3.4    Nachfüllen eines Federbeines
5.3.4    Räder: Aus- und Einbau, Speichenwechsel, Kugellagerwechsel
5.3.4.1    Aus- und Einbau des Vorderrades
5.3.4.2    Aus- und Einbau des Hinterrades
5.3.4.3    Kugellagerwechsel im Vorder- und Hinterrad
5.3.4.4    Speichenwechsel
5.3.4.5    Reifenmontage
5.3.5    Bremsen: Überholung und Einstellung
5.3.5.1    Bremsbackenwechsel
5.3.5.2    Einstellung der Bremsen
5.3.5.3    Bremslichtschalter. Ausbau und Einstellung
5.3.6    Hinterradnabe
5.3.6.1    Zerlegen des Hinterradantriebes und Auswechseln des Dämpfungskörpers
5.3.6.2    Ausbau des Kugellagers Nr. 6005 (Hinterachsantrieb)
5.3.7    Kette und Kettenschutzschläuche
5.3.7.1    Auswechseln der Kette
5.3.7.2    Auswechseln der Kettenschutzschläuche
5.3.7.3    Spannen der Kette
5.3.8    Kraftstoffhahn und Kraftstoffbehälter
5.3.8.1    Ausbau und Zerlegen des Kraftstoffhahnes
5.3.8.2    Ausbau des Kraftstoffbehälters
5.3.9    Kippständer und Fußrasten
5.3.9.1    Auswechseln des Kippständers
5.3.10    Elektrische Anlage
5.3.10.1    Einstellung von Reflektor und Scheinwerfer
5.3.10.2    Ausbau des Tachometers
5.3.10.3    Lichtschalteranschlusse
5.3.10.4    Schaltplan
5.3.10.5    Batterie: Aus- und Einbau, Pflegeanweisung
5.3.11    Schmierung und Pflege des Fahrgestells
5.3.11.1    Schmierplan
5.3.11.2    Werkzeug und Zubehör
5.3.11.3    Pflegeanweisung für MZ-Motorräder (ES-Typen)
5.3.12    Lenker und Bowdenzüge
5.3.12.1    Ausbau einer Lenkerhälfte
5.3.12.2    Bowdenzüge ersetzen
5.3.12.3    Zerlegen des Gasdrehgriffes
5.3.13    Beiwagenanschlnß bei ES 250




1 Allgemeine Beschreibung

nächster Punkt ; Inhaltsverzeichnis

Mit den beiden Fahrzeugtypen ES 250 und ES 175 sind konstruktionsmäßig hinsichtlich Motor und Fahrgestell im Motorradwerk Zschopau neue Wege beschritten worden. Mit diesen beiden Maschinen sind Motorräder geschaffen worden, die durch bestechende Fahreigenschaften und gute maschinelle Leistung einen großen Kreis von MZ-Freunden im In- und Ausland erobern werden.

Bei der Entwicklung dieser Maschinen wurde darauf geachtet, die Herstellung nach den modernsten Konstruktionsmerkmalen vorzunehmen. Für Fahrer und Beifahrer soll größter Fahrkomfort geboten werden. Außerdem wurde der Versuch unternommen, mit der ES 250 eine teilverkleidete Maschine zu schaffen. Durch den breiten Vorderkotflügel und die Verkleidung des hinteren Teiles des Fahrgestells sind die Benutzer der Maschine weitgehend vor Schmutz geschützt.

Die durch eine Ringeinstellmutter verstellbare Federharte der vorderen und hinteren Federbeine gibt die Möglichkeit, bei Solo-, Sozius- oder Beiwagen-


Bild l. ES 250 (von links)

Bild 2. ES 175 (von rechts)

betrieb jeweils die richtige Federhärte zu wählen. Die großen Federwege der Federbeine - vorn 142 mm und hinten 115 mm - geben den Fahrzeugen eine sichere Straßenlage und gestatten selbst bei schlechtesten Straßenverhältnissen eine volle Ausnutzung der vorhandenen Motorleistung.

Die robusten Zweitakt-Einzylindermotoren arbeiten nach dem Prinzip der Umkehrspülung. Die Leistung beträgt bei der ES 250 14,5 PS, bei der ES 175 10 PS, bei einer Drehzahl von jeweils 5000 U/min. Diese Motorleistungen gestatten Geschwindigkeiten von 114 km/h bei der ES 250 und 95 km/h bei der ES 175. Der aus Leichtmetall bestehende Zylinderkörper umschließt die Zylinderlaufbüchse aus Grauguß.

Das geteilte Motorengehäuse nimmt in seinem vorderen Teil den Kurbeltrieb und im hinteren Teil das Getriebe auf. Das Getriebe hat 4 Abstufungen und wird mit dem links liegenden Fußschalthebel bedient. Die Zahnräder stehen dauernd im Eingriff. Die Schaltung der einzelnen Übersetzungen erfolgt durch Verschieben der Schalträder mit Hilfe einer Kurvenwalze und Schaltgabeln. Dadurch werden Klauen in Ringriff gebracht und so die einzelnen Gänge geschaltet.

Neu ist der fest stehende Scheinwerfer, welcher zusammen mit dem Kraftstoffbehälter und der hinteren Verkleidung der Krafträder eine harmonische Linienführung ergibt. Der Reflektor des Scheinwerfers ist verstellbar, um die Höhe des Lichtkegels bei starker Belastung verändern zu können. Größte Sicherheit bieten die reichlich bemessenen Zentralbremsen von 160 mm Durchmesser. Der Belag der Bremsbacken ist nach einem besonderen Verfahren der Firma Cosid aufgeklebt. Durch den Wegfall der Nietung der Bremsbeläge wird eine maximale Ausnutzung der vorhandenen Bremsnutzfläche erreicht.

Die Maschinen sind mit 16"-Rädern ausgerüstet. Der dadurch erreichte tiefe Schwerpunkt trägt zu der guten Straßenlage der ES-Maschinen bei. Mit den beiden ES-Typen sind moderne, leistungsfähige Gebrauchsmaschinen entstanden, die dem Leistungsstand ihrer Klasse entsprechen. Bei Internationalen Leistungsprüfungsfahrten ist der Wert der ES-Typen mehrfach unter Beweis gestellt worden.



2 Technische Daten MZ ES 175 und 250

2.1 Gruppe Motor

nächster Punkt ; Inhaltsverzeichnis

  ES 250 ES 175
Arbeitsverfahren Zweitakt Zweitakt
Spülverfahren Umkehrspülung Umkehrspülung
Zylinderzahl und Anordnung l Zyl. stehend, 7,5° nach vorn geneigt l Zyl. stehend, 7,5° nach vorn geneigt
Hub 65 mm 65 mm
Bohrung 70 mm 58 mm
Hubraum 250 ccm 173 ccm
Verdichtungsverhältnis 7:1 7,5:1
Leistung bei n = 5000 U/min 14,5 PS 10 PS
Kühlung Luft (Fahrtwind) Luft (Fahrtwind)
Schmierung Frischöl 25:1 (Mischungsschmierung) Frischöl 25:1 (Mischungsschmierung)
Steuerzeiten: Doppelport Einport  
a) Ansaugen 120/128 Kurbelwinkel 120/138° Kurbelwinkel 120/138° Kurbelwinkel
b) Überströmen 110° " 110° " 110° "
c) Auslaß 140° " 150° " 145° "
Vergaser Zweihebel-Flachschieber- Düsennadelvergaser Zweihebel-Flachschieber- Düsennadelvergaser
Vergasertyp BVF N 271/0 BVF N 261-7
Vergasereinstellung:
Durchlaß 27 mm 25,5 mm
Hauptdüse 110 (105) 100 (95)
Düsenstock 67 67
Nadelstellung 4 4
Leerlaufdüse 45 45
Luftstellschraube 2,5 U. offen 2,5 U. offen
Leerlauf-Luftdüse 80 80
Luftfilter Naßluftfilter m. Ansauggeräuschdämpfung Naßluftfilter m. Ansauggeräuschdämpfung
Kraftstoffdurchscbnittsverbrauch 3,8 l/100 km 3,6 l/100 km
Zündung Batteriezündung Batteriezündung
Zündkerze M 14/225 M 14/225
Gewindelänge 12 mm 12 mm
Elektrodenabstand 0,6 mm 0,6 mm
Vorzündung 3,5 mm bei voll ausgedrückten Fliehgewichten 4 mm bei voll ausgedrückten Fliehgewichten
Unterbrecherkontaktabstand 0,4 mm 0,4 mm
Kolben
Werkstoff Leichtmetall Si 20 Leichtmetall Si 20
Kolbengewicht 260 g 180 g
Kolbenringe 3 Grauguß, 2,5mm breit
DIN 73102
3 Grauguß, 2,5mm breit
DIN 73102
Kolbenübergrößen: 70,00 mm Dmr. 58,00 mm Dmr.
  70,25 mm Dmr. 58,25 mm Dmr.
  70,50 mm Dmr. 58,50 mm Dmr.
  70,75 mm Dmr. 58,75 mm Dmr.
  71,00 mm Dmr. 59,00 mm Dmr.
  71,25 mm Dmr. 59,25 mm Dmr.
  71,50 mm Dmr. 59,50 mm Dmr.
  71,75 mm Dmr. 59,75 mm Dmr.
  72,00 mm Dmr. 60,00 mm Dmr.
Kurbelwellenlager
Anzahl 3 3
Typ Ringrillenlager 2 x 6205, 1 x 6302 Ringrillenlager 2 x 6205, 1 x 6302
Pleuellager Doppelrollenlager Doppelrollenlager
Rollendimensionen 6x8 DIN 5402 +/- 0,006 6x8 DIN 5402 +/- 0,006


2.2 Gruppe Getriebe

nächster Punkt ; Inhaltsverzeichnis

  ES 250 ES 175
Kupplung Mehrscheiben im Ölbad Mehrscheiben im Ölbad
Belag Reiblamellen Original 'Cosid' Reiblamellen Original 'Cosid'
Anzahl der Druckfedern 6 6
Getriebe
Anzahl der Gänge 4 (Zahnräder ständig im Eingriff ), elektr. Kontrollampe im Tachometer. Klauenschaltung durch Fußschalthebel 4 (Zahnräder ständig im Eingriff ), elektr. Kontrollampe im Tachometer. Klauenschaltung durch Fußschalthebel
Übersetzungsverhältnis:
1. Gang 2,77:1 2,77:1
2. Gang 1,63:1 1,63:1
3. Gang 1,23:1 1,23:1
4. Gang 0,92:1 0,92:1
Übersetzung Motor-Getriebe schrägverzahnte Zahnräder schrägverzahnte Zahnräder
Anzahl der Zähne 28:68 28:68
Übersetzungsverhältnis 2,43:1 2,43:1
Übersetzung Getriebe-Hinterrad Rollenkette Rollenkette
Zähnezahlen der Kettenräder 20:45 18:48
Übersetzungsverhältnis: 2,25:1 2,66:1
Gesamtübersetzung:
1. Gang 15,12:1 17,90:1
2. Gang 8,90:1 10,55:1
3. Gang 6,71:1 7,95:1
4. Gang 5,02:1 5,95:1
Art der Kette (Abmessungen) Rollenkette 1/2" x 7,7 x 8,5 Dmr. 118 Glieder Rollenkette 1/2" x 7,7 x 8,5 Dmr. 118 Glieder


2.3 Gruppe Fahrgestell

nächster Punkt ; Inhaltsverzeichnis

  ES 250 ES 175
Bremsen
Fußbremse Zentralbremse Zentralbremse
wirkt auf: Hinterrad Hinterrad
Betätigung Gestänge Gestänge
Bremstrommel 160 mm Dmr. 160 mm Dmr.
Bremsbelag 30 mm breit, Original 'Cosid' (aufgeklebt) 30 mm breit, Original 'Cosid' (aufgeklebt)
Handbremse Zentralbremse Zentralbremse
wirkt auf: Vorderrad Vorderrad
Betätigung Bowdenzug Bowdenzug
Bremstrommel 160 mm Dmr. 160 mm Dmr.
Bremsbelag 30 mm breit, Original 'Cosid' (aufgeklebt) 30 mm breit, Original 'Cosid' (aufgeklebt)
Räder
Art Drahtspeichenräder Drahtspeichenräder
Achsen Steckachsen vorn und hinten Steckachsen vorn und hinten
Felgen Tiefbettfelgen 1,85 x 16 Tiefbettfelgen 1,85 x 16
Speichen Geradwegspeichen Geradwegspeichen
Bereifung 3,25 x 16 3,25 x 16
Typ Blockrillenprofil Blockrillenprofil
Luftdruck Solo vorn 1,4 atü vorn 1,4 atü
  hinten 1,6 atü hinten 1,6 atü
mit Sozius vorn 1,4 atü vorn 1,4 atü
  hinten 2,0 atü hinten 2,0 atü
mit Beiwagen vorn 1,4 atü  
und Beiwagenfahrer hinten 1,8 atü  
mit Fahrer, Beiwagen Beiwagen 1,4 atü  
und Sozius hinten 2,6 atü  


Einlageblatt zum Reparaturhandbuch für MZ-Motorrad ES 250/ES 175

Betrifft: Neue Luftdrücke

Um Reifenschäden vorzubeugen, die in verschiedenen Fällen auftraten, werden vorübergehend folgende Luftdrücke vorgeschrieben:



ES 250
Solo vorn 1,4 atü
Solo hinten 1,8 atü
m. Sozius vorn 1,4 atü
m. Sozius hinten 2,5 atü
Seitenwagenbetrieb
m. 2 Personen vorn 1,5 atü
m. 2 Personen hinten 1,8 atü
m. 3 Personen vorn 1,5 atü
m. 3 Personen hinten 3,0 atü
ES 175
Solo vorn 1,4 atü
Solo hinten 1,8 atü
m. Sozius vorn 1,4 atü
m. Sozius hinten 2,5 atü


Federung
Vorderradfederung breit gelagerte Langschwinge mit verstellbarem Federbein breit gelagerte Langschwinge mit verstellbarem Federbein
Stoßdämpfer Ölstoßdämpfer Ölstoßdämpfer
Federweg 142 mm Federweg 142 mm Federweg
Hinterradfederung breit gelagerte Langschwinge mit verstellbarem Federbein breit gelagerte Langschwinge mit verstellbarem Federbein
Stoßdämpfer Ölstoßdämpfer Ölstoßdämpfer
Federweg 115 mm 115 mm
Lenkung
Lenkkopfwinkel 27° 27°
Vorderradnachlauf 105 mm
(m. Beiwagen 60mm)
105 mm
Wendekreis 4,40 m 4,40 m
Rahmen
Bauart Stahlrohrrahmen Stahlrohrrahmen
Verbindungen geschweißt, Steuerkopf gemufft und gelötet geschweißt, Steuerkopf gemufft und gelötet
Fahrerfußrasten verstellbar verstellbar
Soziusfußrasten fest angebracht, umklappbar fest angebracht, umklappbar
Sättel und Zubehör
Zahl der Sitze 2 2
Fahrersattel Schaumgummi mit Gummidecke Schaumgummi mit Gummidecke
Soziussattel Schaumgummi mit Gummidecke Schaumgummi mit Gummidecke
Werkzeugbehälter unter Fahrer- u. Soziussattel abschließbar unter Fahrer- u. Soziussattel abschließbar
Tachometer im Scheinwerfer, beleuchtet im Scheinwerfer, beleuchtet
Tachometerantrieb am Antriebskettenrad am Antriebskettenrad
Elektrische Anlage
Lichtmaschine Gleichstrommaschine Gleichstrommaschine
Typ GM 45/60 GM 45/60
Hersteller IKA IKA
Leistung 60 Watt 60 Watt
Antrieb Anker direkt auf der Kurbelwelle Anker direkt auf der Kurbelwelle
Reglerschalter Flachregler

RSC 45/6 W,
Flachregler

RSC 45/6 W,
Ladekontrollampe im Tacho eingebaut im Tacho eingebaut
Sicherung 25 Amp., rechte Fahrzeugseite, im Reglerbehälter 25 Amp,, linke Fahrzeugseite, unter der Verkleidung
Zündspule 6 Volt, unter dem Kraftstoffbehälter 6 Volt, unter dem Kraftstoffbehälter
Batterie
Spannung 6 Volt 6 Volt
Kapazität 8 Ah 8 Ah
Minuspol an Masse an Masse
Scheinwerfer 160 mm Lichtaustrittsöffnung 160 mm Lichtaustrittsöffnung
Hauptlicht 35/35 W Bilux 35/35 W Bilux
Standlicht 6 Volt 2 W 6 Volt 2 W
Schlußlicht 6 Volt 5 W 6 Volt 5 W
Bremslicht 6 Volt 15 W 6 Volt 15 W
Tachobeleuchtung 6 Volt 0,6 W 6 Volt 0,6 W
Kontrollampen 6 Volt l,2 W 6 Volt l,2 W
Maße und Gewichte
Größte Länge 2000 mm 2000 mm
" Breite 680 mm 680 mm
" Höhe 1000 mm 1000 mm
Radstand 1325 mm 1325 mm
Bodenfreiheit 150 mm 150 mm
Sitzhöhe 750 mm 750 mm
Eigengewicht 150 kg 146 kg
zul. Belastung 170 kg 182 kg
zul. Gesamtgewicht 330 kg 340 kg
Höchstgeschwindigkeit 114 km 95 km
Steigvermögen
1. Gang ca. 38%
2. Gang ca. 20 %
3. Gang ca. 11%
4. Gang ca. 4%
Füllmengen
Wechselgetriebe 1100 ccm Motorenöl 1100 ccm Motorenöl
Kraftstoffbehälter 16 l Kraftstoff 16 l Kraftstoff
davon Reserve 2 l 2 l
Federbeine, je Federbein 80 ccm Stoßdämpferöl,
Caramba Original
80 ccm Stoßdämpferöl,
Caramba Original
Diebstahlsicherung Lenkerschloß Lenkerschloß


Bild 3. Explosivzeichnung des ES-Motors (hier vergrößerte Darstellung)



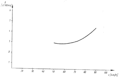
3 Leistungs- und Verbrauchsdiagramme

nächster Punkt ; Inhaltsverzeichnis

Bild 4. Leistungskurve ES 250



Bild 5. Leistungskurve ES 175



Bild 6. Verbrauchskurve ES 250



Bild 7. Verbrauchskurve ES 175



Bild 8. Beschleunigungskurve ES 250



Bild 9. Beschleunigungskurve ES 175



4 Baubeschreibung

4.1 Motor

4.1.1 Triebwerk

nächster Punkt ; Inhaltsverzeichnis

Das Triebwerk der Einzylinder-Zweitakt-Motoren besteht aus Kurbelwelle, Pleuel und Kolben. Durch diese wenigen bewegten Teile ist ein denkbar geringer Verschleiß innerhalb des Motors gewährleistet. Die Kurbelwelle ist mit 2 Ringrillenlagern 6205 und einem Ringrillenlager 6302 gelagert. Die Abdichtung des Kurbelgehäuses wird auf der Kupplungsseite der Kurbelwelle mit einem Radialdichtring A 30 x 52 x 12 DIN 6503 erreicht. Auf der Lichtmaschinenseite wird ein Radialdichtring verwendet, der in die Dichtkappe für die Kurbelwelle eingesetzt ist. Das Pleuellager ist als Doppelrollenlager ausgeführt. Es werden Rollen verwendet mit den Abmessungen 6x8 DIN 5402 +/- 0,006 mm. Der Leichtmetallkolben trägt 3 Kolbenringe aus Grauguß. Die Breite der Kolbenringe beträgt 2,5 mm. Der Kolbenhub bei ES 250 und bei ES 175 ist 65 mm.



4.1.2 Zylinder

nächster Punkt ; Inhaltsverzeichnis

Der mit großen Kühlrippen versehene Leichtmetallzylinder ist mit einer Laufbuchse aus Grauguß ausgerüstet. Der Zylinderdeckel ist abnehmbar. Die Abdichtung von Zylinder und Zylinderkopf erfolgt durch eine angedrehte Dichtfläche am Leichtmetalldeckel, d. h., zwischen beiden Teilen liegt keine Dichtung. Zylinder und Zylinderkopf sind durch 4 Stehbolzen mit Muttern auf dem Kurbelgehäuse verschraubt. Die Bohrung der ES 250 beträgt 70 mm, die der ES 175 beträgt 58 mm. Dadurch ergibt sich ein Zylinderinhalt von 250 ccm bei der ES 250 und 173 ccm bei der ES 175.



Bild 10. Zylinder der ES 250



4.1.3 Kupplung

nächster Punkt ; Inhaltsverzeichnis

Die Kupplung, eine Mehrscheibenkupplung, die im Ölbad arbeitet, sitzt direkt auf der Kurbelwelle. Im Inneren des Kupplungskorbes befinden sich 5 Stahllamellen, zwischen denen 4 Reibbelaglamellen arbeiten. Die Reibbelaglamellen stehen durch ihre Außenverzahnung mit dem Kupplungskorb in Verbindung, während die Stahllamellen, mit Innenverzahnung versehen, mit dem inneren Mitnehmer in Verbindung stehen. Mit 6 Druckfedern werden die Lamellen zusammengedrückt und so die Verbindung zwischen Kurbelwelle und Übertragungszahnrad hergestellt.



4.1.4 Vergaser

nächster Punkt ; Inhaltsverzeichnis

Als Vergaser werden Zweihebel-Flachschieber-Düsennadelvergaser der Berliner Vergaserfabrik verwandt. Vergasertyp für ES 250: BVP N 271/0, für ES 175: BVF N 261/7. Dem Vergaser ist ein Ansauggeräuschdämpfer vorgeordnet, der die Luftwirbel beseitigt, so daß dem Motor beruhigte Luft zugeführt wird. Das reichlich bemessene Naßluftfilter ist in den Werkzeugkasten unter dem Fahrersattel eingebaut. Bei beiden Modellen ist zwischen Luftfilter und Vergaser ein Ansauggeräuschdämpfer zwischengeschaltet.



4.1.5 Zündung und Lichtmaschine

nächster Punkt ; Inhaltsverzeichnis

Beide ES-Typen sind mit Batteriezündung 6 Volt und einer Gleichstromlichtmaschine Typ GM 45/60 von IKA ausgerüstet. Der Anker der Lichtmaschine sitzt auf dem Kurbel wellenstumpf. Auf der Haltekappe der Lichtmaschine ist der Unterbrecher für die Zündung angeordnet. Der Fliehgewichtsregler zur automatischen Zündverstellung ist zusammen mit dem Unterbrechernocken auf dem Anker angebracht. Zur Spannungsreglung wird ein Flachregler von IKA Typ RSC 45/6 verwendet. Dieser Regler sitzt bei der ES 250 unter der rechten Verkleidung, während er bei der ES 175 seinen Platz unter der linken Verkleidung hat. Zur Kontrolle der Lichtmaschine während der Fahrt ist im Tachometer eine rote Kontrollampe eingebaut, die erlischt, sobald die Lichtmaschine Strom erzeugt. Die 6 Volt-Zündspule, die den Hochspannungsstrom für den Zündfunken liefert, ist unter dem Kraftstoffbehälter zusammen mit dem Signalhorn in einem Halter am mittleren Rahmenrohr angebracht.


4.2 Getriebe

4.2.1 Schaltung

nächster Punkt ; Inhaltsverzeichnis

Beide ES-Typen sind mit einem Vierganggetriebe ausgerüstet, dessen Zahnräder dauernd im Eingriff stehen. Das Schalten des Getriebes geschieht durch einen Fußschalthebel, der mit Kerbverzahnung auf der Schaltwelle festgeklemmt ist. Er kann für jede Fußhaltung eingestellt werden. Beim Betätigen des Fußschalthebels wird mittels eines verzahnten Schaltsegments eine Kurvenwalze gedreht, in deren Ausfräsungen die Schaltgabeln geführt werden. Diese Schaltgabeln verschieben die einzelnen Schalträder und damit die Klauen des Getriebes. Auf diese Art werden die einzelnen Untersetzungen geschaltet.



4.2.2 Übersetzungsverhältnisse der einzelnen Gänge

nächster Punkt ; Inhaltsverzeichnis

Die Übersetzungsverhältnisse der einzelnen Gänge sind bei beiden ES-Typen gleich. Ebenso gleichen sich die Übersetzung zwischen Kurbelwelle und Getriebeantriebswelle beider ES-Typen. Die Kraftübertragung von der Kurbelwelle zum Getriebe erfolgt durch zwei schrägverzahnte Zahnräder.

Zähnezahlen und Übersetzungsverhältnisse:

Motor-Getriebe

Zähnezahl Übersetzungsverhältnis für ES 250/175
28:68 2,43:1


Getriebeübersetzungen:

  1. Gang 13:36 = 2,77:1
  2. Gang 19:31 = 1,63:1
  3. Gang 22:27 = 1,23:1
  4. Gang 26:24 = 0,92:1


4.2.3 Kraftübertragung zum Hinterrad

nächster Punkt ; Inhaltsverzeichnis

Die Kraft vom Antriebskettenrad des Getriebes zum Kettenrad des Hinterrades überträgt eine Rollenkette l/2" x 7,7 x 8,5 mm Dmr. Sie besteht aus 118 Gliedern. Bei beiden Typen ES 250/175 werden Ketten mit gleicher Länge und gleichen Abmessungen verwendet. Verschieden ist die Zähnezahl von Antriebskettenrad und Kettenrad des Hinterrades. Dadurch ergeben sich die unterschiedlichen Gesamtübersetzungen der beiden ES-Typen.



Zähnezahlen der Kettenräder Übersetzungsverhältnis
ES 250 20:45 2,25:1
ES 175 18:48 2,66:1


Gesamtübersetzungen:

  ES 250 ES 175
1. Gang 15,12:1 17,90:1
2. Gang 8,90:1 10,55:1
3. Gang 6,71:1 7,95:1
4. Gang 5,02:1 5,95:1


4.3 Fahrgestell

4.3.1 Rahmen

nächster Punkt ; Inhaltsverzeichnis

Der Rahmen ist aus Stahlrohr zusammengesetzt und an den Verbindungsstellen geschweißt. Der Steuerkopf ist gemufft und hartgelötet. Ab Fahrgestell Nr. l 106531 wird ein Standardrahmen verwendet, der für die ES 250 und die ES 175 gleich ist. Bei der ES 175 wird dieser Rahmen serienmäßig ab Fahrgestell Nr. 3005796 eingebaut. Ein Austausch des Rahmens der ES 250 (Doppelport) ist nur dann möglich, wenn der Motor auf Einportanlage umgestellt wird und folgende Teile ausgetauscht werden:

  • Zylinder
  • Rahmen (Standardausführung)
  • Auspuffrohr
  • Schalldämpfer
  • Kettenabdeckung (innere und äußere)
  • Hinterradverkleidung rechts und links
  • Fußbremshebel
  • Kippständer und Kippständerfeder
  • Fußraste rechts und links
  • Soziusfußraste rechts und links


Bild 11. Standardrahmen



4.3.2 Federung und Schwingenanordnung

nächster Punkt ; Inhaltsverzeichnis

Die ES-Typen sind mit Langschwingen und Federbeinen ausgerüstet. Die vorderen Federbeine haben einen Federweg von 142 mm, während die hinteren Federbeine 115 mm Federweg zulassen. Eingebaute Ölstoßdämpfer übernehmen die Abdämpfung der Rücklaufenergie der Druckfedern. Die Federbeine sind für Solo- oder für Soziusbetrieb verstellbar. Die Verstellung wird mit .Ringmuttern erreicht, deren Drehrichtungen nach Weich oder Hart mit 'W' und 'H' auf jedem Federbein angegeben sind.



4.3.3 Achsen und Räder

nächster Punkt ; Inhaltsverzeichnis

Vorder- und Hinterachsen der ES-Typen sind als Steckachsen ausgebildet. Gelagert sind die Naben vorn mit 2 Ringrillenlagern 6302 und hinten mit. 2 Ringrillenlagern 6002 und einem Hochschulterlager 6005. In der Hinterradnabe befindet sich ein Gummidämpfungskörper, der eine weiche stoßfreie Kraftübertragung gewährleistet. Es werden Tiefbettfelgen mit den Abmessungen 1,85 x 16 verwendet. Neu sind die eingebauten Geradwegspeichen, die in die Naben mit besonderen Speichenaufnahmen eingesetzt sind. Je 2 Speichen sitzen in einer Speichenaufnahme, die eine einwandfreie Lagerung der Speichenköpfe gewährleistet. Durch die Speichenaufnahmen wird außerdem ein Verdrehen der Speichen beim Anziehen der Nippel vermieden.



4.3.4 Bremsen

nächster Punkt ; Index

Im Vorder- und Hinterrad sind mechanische Innenbackenbremsen eingebaut. Der Durchmesser der Bremstrommeln beträgt bei beiden Bremsen je 160 mm. Es handelt sich um sogenannte Zentralbremsen, deren Bremsbeläge nach einem besonderen Verfahren der Firma 'Cosid' aufgeklebt sind. Die Vorderradbremse wird durch Handhebel und Bowdenzug, die Hinterradbremse durch Fußhebel und Gestänge betätigt.



4.3.5 Sättel und Zubehör

nächster Punkt ; Inhaltsverzeichnis

Der Fahrer- und Soziussattel sind mit einer Schaumgummiunterlage ausgestattet und mit einer Gummidecke überzogen. Beide Sättel sind aufklappbar. Der unter beiden Sätteln liegende Raum dient als Werkzeugbehälter. Sie können mit Einsteck-Sicherheitsschlössern verschlossen werden. Ein gleiches Einsteck-Sicherheitsschloß zum Starrschließen des Lenkers sichert die abgestellten Maschinen. Alle drei Sicherheitsschlösser sind mit dem gleichen Schlüssel verschließbar. Eine reichhaltige Werkzeugausstattung ermöglicht alle Pflegearbeiten und kleineren Reparaturen an der Maschine. Bei der ES 250 gehören außerdem zwei große Kunstlederpack laschen zur Ausrüstung. Diese Taschen sind rechts und links an der hinteren Blechverkleidung angebracht.



4.3.6 Elektrische Anlage

nächster Punkt ; Inhaltsverzeichnis

Der große Scheinwerfer mit 160mm Lichtaustrittsöffnung ist feststehend, d. h., beim Einschwenken des Lenkers bleibt der Scheinwerfer fest stehen. Eine besondere Konstruktion des Reflektors erlaubt das Verstellen des Lichtkegels nach oben und unten. Diese Korrektur wird notwendig, wenn die Maschine mit 2 Personen belastet ist. Das elektrische Signalhorn ist unter dem Kraftstoffbehälter montiert. An der linken Lenkerseite befindet sich der Abblendschalter mit kombiniertem Signalknopf. Der Schalter für Licht und Zündung, der mit dem abziehbaren Zündschlüssel bedient wird, ist in den Scheinwerfer eingebaut. Er hat 6 Schaltstufen:

0 Zündung und Licht ausgeschaltet (Schlüssel abziehbar)
1 Zündung eingeschaltet (Fahrtstellung bei Tag)
2 Zündung eingeschaltet, Stand- und Schlußlicht eingeschaltet
3 Zündung eingeschaltet, Haupt- und Schlußlicht eingeschaltet (Fahrtstellung bei Nacht)
4 Zündung ausgeschaltet, Stand- und Schlußlicht eingeschaltet (Parkstellung bei Nacht), Schlüssel abziehbar
5 Zündung eingeschaltet, Licht ausgeschaltet (Anschieben der Maschine mit entladener oder ohne Batterie möglich)

Bei den beiden ES-Typen werden 6 Volt-Batterien mit 8 Ah eingebaut. (Verwendet werden Bleisammler und auch Nickel-Kadmium-Sammler. Pflegeanweisungen für beide Sammlertypen unter 5.3.10.5.)



5 Instandsetzungsanweisungen

5.1 Gruppe Motor

5.1.1 Motor ausbauen und einbauen

nächster Punkt ; Inhaltsverzeichnis

a) Montagebock

Für die Montagearbeiten am Motorrad verwendet man zweckmäßigerweise einen Montagebock mit folgenden Abmessungen:

Länge 2000 mm
Breite 600 mm
Höhe 650 mm


Bild 12. Montagebock für Motorräder

Bild 13. ES auf dem Montagebock



Dieser Bock aus Holz oder Metall bietet den Vorteil, daß auf ihm alle Teile der zu reparierenden Maschine bequem und ohne Schwierigkeiten zu erreichen sind. Alle Handgriffe können in normaler Körperhaltung ausgeführt werden.

Die Platte eines hölzernen Montagebockes wird zweckmäßigerweise mit Blech beschlagen.

unter Verwendung einer 2,5 m langen Bohle wird die Reparaturmaschine auf den Montagebock befördert und ebenso heruntergefahren.



b) Motorausbau

  1. Mit einem Hakenschlüssel wird die Ringmutter des Auspuffrohres gelöst, die Haltemutter des Schalldämpfers abgeschraubt und dann die gesamte Auspuffanlage abgenommen.
  2. Bei der ES 250 sind die hinteren Federbeine abzunehmen. (Bei der ES 175 ist die Abnahme der Federbeine nicht erforderlich.)
  3. Die Seitenverkleidungsbleche werden entfernt, wie es unter Abschnitt 5.3.2.2, Punkt 6 beschrieben ist.
  4. Die Ringmutter am Mischgehäuse des Vergasers wird abgeschraubt und die beiden Vergaserschieber herausgenommen.
  5. Nachdem der Kraftstoffschlauch vom Kraftstoffhahn zum Vergaser abgezogen worden ist, wird die Haltemutter der Vergaserabdeckkappe abgeschraubt und die Kappe abgenommen.
  6. Die drei Halteschrauben des Lichtmaschinendeckels werden gelöst und der Lichtmaschinendeckel abgenommen.
  7. Die Tachometerwelle läßt sich herausziehen, nachdem die Ringmutter am Tachometerantriebsgehäuse gelöst worden ist.
  8. Das Hinterrad wird gedreht, bis das Kettenschloß sichtbar ist. Die Feder des Kettenschlosses wird mit der Flachzange entfernt und nachdem das Kettenschloß abgenommen worden ist, die beiden Enden der Kette abgelegt.
  9. Von der Haltekappe der Lichtmaschine sind 4 Kabel zu lösen:

    Kabel DF = grün/blau
    Kabel D = grün
    Kabel 31 = braun
    Kabel l = blau

    Bevor diese Kabel abgeklemmt werden, ist durch Entnahme der 25Amp.-Sicherung aus dem Klemmbrett der Stromkreis der Anlage zu unterbrechen.
  10. Der Kupplungsbowdenzug läßt sich am Handhebel der Kupplung aushängen.
  11. Der Zylinderkopf wird, nachdem die vier Befestigungsmuttern von den Stehbolzen gelöst worden sind, nach oben abgehoben.
  12. Die zwei hinteren und der vordere Motorbefestigungsbolzen werden gelöst und alle drei Bolzen herausgenommen.
  13. Der Motor wird angehoben und nach rechts aus dem Fahrgestell herausgenommen.


c) Einbau

Der Einbau des Motors geht in umgekehrter Reihenfolge des Ausbauens vor sich. Es ist ganz besonders darauf zu achten, daß unbeschädigte bzw. neue Dichtungen für die Überwurfmuttern der Auspuffrohre Verwendung finden.

Angeklemmte Kabel sind wieder richtig anzuschließen und der Schmiermittelstand im Getriebe muß kontrolliert werden (1100 ccm Motorenöl). Der richtige Ölstand im Getriebe ist erreicht, sobald an der vorgesehenen Kontrollschraube Öl austritt.



Bild 14. Herausheben des Motors aus dem Rahmen der ES



5.1.2 Zerlegen von Motor und Getriebe

nächster Punkt ; Inhaltsverzeichnis

Benötigte Sonderwerkzeuge:

Einspannvorrichtung für Motor 05 MV-33-0 oder 05-H8-587
Auflage für Kolben (Holz) 05 MW 16a-4
Gerät zum Ausdrücken der Pleuelbüchse 05 H8 594 V3 (18 mm)
Gegenhalter f. Antriebskettenrad 05 MW-14-4
Gegenhalter f. gr. Antriebsrad 05 MW-15-3
Abzieher für kleines Kettenrad
und großes Antriebsrad
05 MV-45-3
Abzieher für Kupplung
Trennschrauben für Gehäuse
05-MW-20-4


Man verwendet zum Zerlegen des Motors zweckmäßigerweise eine Einspannvorrichtung. Mit einer solchen Vorrichtung ist es möglich, den Motor für alle durchzuführenden Arbeitsgänge jeweils in die gewünschte Lage zu schwenken. Dadurch kann sauber und unfallfrei gearbeitet werden.

Die Demontage des Motors beginnt auf der Lichtmaschinenseite des Motors.



Bild 15. Einspannvorrichtung 05 H 8-587 mit eingespanntem ES-Motor



  1. Der Motor wird in der Einspannvorrichtung befestigt, das Getriebeöl abgelassen und der Lichtmaschinendeckel des Motors abgenommen.
  2. Die Lichtmaschine wird ausgebaut, wie es unter 5.1.5.1 beschrieben ist.
  3. Als nächstes wird der Zylinder abgenommen. Mit dem 14 mm-Steckschlüssel löst man den Zylinderdeckel und nimmt ihn nach oben ab.
  4. Jetzt ist der Zylinderkörper nach oben abzuheben und dann der Kolben durch Unterschieben der Holzunterlage 05 MW 16a-4 zu sichern. Auf diese Art werden Kolbenbeschädigungen vermieden.
  5. Der Tachometerantrieb wird ausgebaut und die Sicherung des Antriebskettenrades aufgebogen. Um ein Mitdrehen des Kettenrades beim Lösen der Haltemutter zu verhindern, wird der Gegenhalter 05 MW 14-4 eingesetzt und die Mutter abgeschraubt.
  6. Mit dem Abzieher 05 MV 45-3 läßt sich das Antriebskettenrad von der Antriebswelleabziehen.
  7. Der Motor wird nun in der Einspannvorrichtung geschwenkt, so daß die Kupplungsseite bearbeitet werden kann. Nachdem die Halteschrauben des kleinen Abschlußdeckels gelöst worden sind, wird der Deckel abgenommen. Dadurch ist die Haltemutter der Kupplung zugänglich, die entsplintet und abgeschraubt wird. Der Kupplungsdeckel wird abgenommen.


Bild 16. Gegenhalter 05-MW-14-4 für das Antriebskettenrad zum Lösen der Haltemutter



Bild 17. Abzieher 05 MV 45-3 zum Abziehen des Antriebskettenrades



Bild 18. Abzieher 05 MW 20-4 zum Abziehen der Kupplung



Bild 19. Gegenhalter 05 MW 15-3 für Lösen der Haltemutter



Bild 20. Abzieher 05 MV 45-3 zum Abziehen des großen Übertragungszahnrades



  1. Die Kupplung kann jetzt unter Verwendung des Abziehers 05 MW 20-4 abgezogen werden. Dabei ist auf die frei werdenden Lagerrollen des Kupplungskorbes zu achten. Damit sie nicht herunterfallen, einen flachen Behälter unterstellen.
  2. Nun wird das große Antriebszahnrad abgebaut. Dazu verwendet man den Gegenhalter 05 MW 15-3 und den Abzieher 05 MV 45-3. Vor dem Abziehen des Antriebszahnrades ist die Blechsicherung der Haltemutter aufzubiegen und die Mutter abzuschrauben (Gegenhalter verwenden!). Der Abzieher 05 MV 45-3 ist derselbe wie er beim Abziehen des Antriebskettenrades Verwendung findet.
  3. Der Lichtmaschinendeckel, der Abschlußdeckel der Abtriebswelle und der Schaulochdeckel des Getriebes werden abgenommen.
  4. Sämtliche Halteschrauben des Gehäuses müssen entfernt werden (14 Stück). Die beiden Paßhülsen des Gehäuses sind mit einem Dorn herauszuschlagen, und dann wird das Gehäuse mit Hilfe von 2 Trennschrauben auseinandergedrückt.
  5. Nach der Trennung des Gehäuses sind die beiden Getriebewellen herauszuziehen, ebenso die Kurvenwalze, die Schaltgabeln und die Fußschaltwelle.
  6. Die Kurbelwelle kann nun mit einer Ausdrückvorrichtung herausgedrückt werden.


Bild 21. Trennschrauben zum Auseinanderdrücken des Gehäuses (Montagebock 05 MV 33-0)



5.1.2.1 Zylinder-Demontage und -Montage

nächster Punkt ; Inhaltsverzeichnis

Benötigte Sonderwerkzeuge :

Unterlage 05 MW 16a-4 für Kolben
Spannring 05 MW 17-4 für Kolbenringe (ES 250)
Spannring 05 MW 35-4 für Kolbenringe (ES 175)


a) Demontage

  1. Kraftstoffbehälter abnehmen.
  2. Der Zylinderdeckel ist mit einem 14 mm-Steckschlüssel zu lösen und nach oben abzunehmen.
  3. Die Kraftstoffleitung wird vom Schwimmergehäusedeckel abgenommen und die beiden Vergaserschieber nach Lösen der Ringmutter herausgezogen. Die geschlitzte Haltemutter der Vergaserabdeckkappe ist abzuschrauben und die Vergaserabdeckkappe nach oben abzuheben.
  4. Die Klemmschraube des Vergasers am Ansaugrohr kann nun gelöst, der Vergaser vom Ansaugstutzen abgezogen und etwa 20 mm in Richtung Ansauggeräuschdämpfer zurückgeschoben werden.
  5. Mit dem Hakenschlüssel (Bordwerkzeug) werden die beiden Überwurfmuttern der Auspuffe abgeschraubt und die Auspuffrohre vom Zylinder abgenommen. Die Schelle am Schalldämpfer wird gelöst.
  6. Der Zylinderkörper ist hochzuschieben und abzunehmen. Damit der Kolben nicht beschädigt wird, ist es notwendig, sofort die Holzunterlage 05 MW 16a-4 unter den Kolben zu schieben.


b) Montage

  1. Um beim Zusammenbau keinen Kolbenring zu beschädigen, werden die Kolbenringe mit einem Spannring zusammengedrückt. Beim Aufsetzen des Spannringes darauf achten, daß die Kolbenringe richtig sitzen. (Haltestifte sichern die Ringe gegen Verdrehen!) Der Zylinderkörper wird nun zusammen mit einer neuen Fußdichtung über den Kolben und die Kolbenringe gedrückt. Hierbei ist jede Anwendung von Gewalt zu unterlassen, weil dabei leicht die Kolbenringe zerbrechen können.
  2. Sobald die Kolbenringe durch vorsichtiges Herunterdrücken des Zylinders eingeführt sind, wird die Holzunterlage herausgezogen und der Spannring vom Kolben abgenommen.
    (Das Abnehmen des Spannringes geschieht wie folgt: Man schiebt den Spannring vom Kolben nach unten, bis er frei um die Pleuelstange liegt. Jetzt wird der Ring so weit gedreht, bis eine der 4 Stiftschrauben durch seinen Schlitz hindurchgeführt werden kann. Durch eine weitere Drehung , ist es dann möglich, auch das Pleuel durch den Schlitz des Spannringes zu führen und dann den Ring freizubekommen.)
    Bei diesen Arbeitsgängen ist der Zylinderkörper mit einer Hand zu halten. Vor allen Dingen muß auf die Zylinderfußdichtung geachtet werden, die nicht beschädigt werden darf.
  3. Der Zylinderkörper wird ganz nach unten geschoben. Dabei ist darauf zu achten, daß die Zylinderfußdichtung einen guten Sitz bekommt, um Füllungsverluste auszuschließen.
  4. Der Zylinderdeckel und die Auspuffrohre sind anzuschließen und festzuziehen. Der Zylinderdeckel dichtet metallisch ab, d.h., er wird ohne Dichtung eingebaut. Beschädigte Dichtungsringe des Auspuffrohres sind durch neue zu ersetzen.
  5. Der Vergaser ist anzubauen. Der Kraftstoffbehälter und der Fahrersattel werden aufgesetzt und verschraubt.


Bild 22. Aufsetzen des Zylinderkörpers unter Verwendung des Spannringes 05 MW 17-4 (ES 175 05 MW 35-4) und der Holzunterlage für d. Kolben



Bild 23. Herausnehmen des Spannringes nach Aufsetzen des Zylinderkörpers



Bild 24. Pleuelbuchse wechseln mit Spezialgerät 05 H 8 594 V3 (18 mm)



5.1.2.2 Pleuelbuchse auswechseln

nächster Punkt ; Inhaltsverzeichnis

Benötigte Sonderwerkzeuge:

Spezialgerät zum Aus- und Eindrücken der Pleuelbuchse 05 H8 594 V3 (18 mm)


  1. Die Zylinderabnahme geschieht, wie es unter 5.1.2.1 beschrieben ist.
  2. Sind die Drahtsprengringe des Kolbens entfernt, wird der Kolbenbolzen herausgedrückt. (Der Kolbenbolzen geht leicht herauszuschieben, da er schwimmend gelagert ist.)
    Sollte in einem besonderen Falle der Kolbenbolzen einmal fest sitzen, dann wird zum Herausdrücken das Ausdrückwerkzeug 02 MW 40-3 verwendet.
  3. Das Sonderwerkzeug 05 H8 594 V3 zum Auswechseln der Pleuelbuchse ist zu empfehlen. Dieses Gerät arbeitet so, daß die Ersatzbuchse die ausgelaufene Buchse aus dem Pleuelauge drückt. Die zu entfernende Buchse fällt, nachdem sie aus dem Pleuelauge herausgedrückt ist, in eine Hülse, die Ersatzbuchse sitzt dann im Pleuelauge. Bei dieser Arbeit ist darauf zu achten, daß die Schmierlöcher der neuen Buchse mit den Schmierlöchern des Pleuelauges übereinstimmen. Nach Bedarf ist anschließend die Pleuelbuchse auf das richtige Maß aufzureiben. Das Spiel des Kolbenbolzens in der Buchse soll +0,020 betragen.
  4. Zum Zusammenbau ist der Kolben leicht anzuwärmen (30 ... 40°). Nach dem Aufsetzen des Kolbens muß der Kolbenbolzen mit 2 Drahtsprengringen gegen seitliches Wandern gesichert werden.
  5. Beim weiteren Zusammenbau verfährt man wie unter 5.1.2.1.


5.1.2.3 Zylinder und Kolben messen und prüfen

nächster Punkt ; Inhaltsverzeichnis

Sonderwerkzeuge:

Mikrometerschraube
Zylindermeßuhr


Zylinder:

Um die Zylinderbohrung auf Verschleiß zu überprüfen, bedient man sich einer Zylindermeßuhr, Diese Uhr ist mit Hilfe einer Mikrometerschraube bzw. eines Lehrringes auf das Normalmaß des Zylinders einzustellen.

Der Zylinder soll auf die Kopfseite gestellt werden. Zur Messung wird die Zylindermeßuhr so in den Zylinder eingeführt, daß die Platte gut am Zylindermantel anliegt und der Fühl- oder Führungsstift beim Schieben der Meßuhr von oben nach unten nicht in die Schlitze vom Auspuff bzw. von den Überströmkanälen einschnappen kann (die Meßuhr würde dadurch beschädigt). Gemessen wird an mehreren Stellen des Zylinders, d. h. im oberen Teil, im unteren Teil, und zwar in Längs- und Querrichtung. Dabei ist zu beobachten, wieviel der Zeiger der Meßuhr differiert (Zylinder laufen oval aus). Bei einem Verschleiß des Zylinders von 0,12 ... 0,15 mm muß er ausgeschliffen werden. Die Stelle des höchsten Verschleißes liegt bei der Auslaßkanaloberkante.



Bild 25. Zylindermessung an der Oberkante



Bild 26. Zylindermessung an der Unterkante



Kolben:

Bei Wiederverwendung des Kolbens nach einer Demontage ist vor dem Zusammenbau nachfolgendes zu überprüfen:

  1. Sitz des Kolbenbolzens,
  2. Sitz und Abnutzung der Kolbenringe (Kolbenringstoßmaß),
  3. Maße an verschiedenen Stellen des Kolbens,
  4. äußerer Zustand des Kolbens (Ölkohleansatz, Preßstellen).

Der Kolbenbolzen hat bei den ES-Modellen Schiebesitz. Fällt der Kolbenbolzen leicht aus der Bohrung heraus, dann ist er gegen einen Bolzen mit geringerer Toleranz auszutauschen. Es sind deshalb zwei verschiedene Abmessungen für Kolbenbolzen vorhanden, die zur besseren Unterscheidung farbig gekennzeichnet sind.

  1. schwarz  von 0,0025 mm ... 0,0050 mm
  2. weiß       von 0 ... 0,0025mm

Es besteht also die Möglichkeit, den schwarz gezeichneten Kolbenbolzen gegen einen weiß gezeichneten Bolzen mit weniger Toleranz einzubauen. Sollte bereits ein weiß gezeichneter Kolbenbolzen eingebaut sein, so gibt es keine weitere Übergröße mehr. Der Kolben muß dann erneuert werden.


Das Höhen- und Stoßspiel der Kolbenringe ist zu kontrollieren, denn die Ringe haben drei wichtige Funktionen auszuüben. Einmal die Abdichtung gegen den Druck der Verbrennungsgase von oben her, zum anderen streifen sie das überflüssige Öl vom Zylindermantel ab und sorgen so für einen gleichmäßigen Ölfilm. Als letztes stellen die Kolbenringe die Verbindung zwischen Kolben und Zylinderwand her und sind dabei ein wichtiger Faktor für die Ableitung der Wärme des Kolbens an die Zylinderwand.


Festsitzende Kolbenringe müssen vorsichtig aus ihren Nuten gelöst werden, wobei darauf zu achten ist, daß sich die Ringe nicht verdrehen. Es ist nicht immer erforderlich, einen Kolbenring, der durch starken Ölkohlenansatz festgesessen hat, zu ersetzen. Ein solcher Ring hat bei weitem seine Spannung nicht verloren, sondern er war nur in seiner Ausdehnung behindert. Nach der Säuberung kann er ohne weiteres wieder verwendet werden. Es ist lediglich darauf zu achten, daß die Ringe immer wieder in die gleiche Ringnut eingebaut werden. Abgenutzte Ringe erkennt man daran, daß das Kolbenringstoßmaß übernormal groß geworden ist (Normalmaß 0,15mm).


Ein kleineres Kolbenringstoßmaß beim Einbau verbessert nicht die Laufeigenschaften des Motors, sondern führt zum Klemmen der Kolbenringe. Ebenso sind Ringe zu ersetzen, die verspannt in ihrer Nut gesessen haben. Diese Ringe sind erkenntlich an den ungleichmäßigen Anlageflächen. Nach der Reinigung müssen die Kolbenringe mit einem Höhenspiel von 0,06 ... 0,09 mm eingebaut werden. Die Kontrolle des Höhenspiels wird mit einer Fühllehre vorgenommen. Beim Einbau der



Bild 27. Messen des Kolbenringstoßmaßes



Bild 28. Kolben messen (Oberkante)



Bild 29. Kolben messen (Unterkante)



Bild 30. Pleuelstange auf Verbiegung prüfen



Ringe ist darauf zu achten, daß die Sicherungsstifte in den Ringnuten, die die Kolbenringe am Verdrehen hindern, fest sitzen. Bei gelockerten Stiften ist es nicht ratsam, sie befestigen zu wollen, sondern es ist besser, den Kolben auszutauschen.

Nach der Montage des Kolbens auf das Pleuel ist zu prüfen, ob sich der Kolben während der Montage verzogen hat. Man prüft dazu mit der Mikrometerschraube das Maß unmittelbar über dem Bolzenauge, und zwar in Längs- und Querrichtung. Die Überprüfung nimmt man auch am unteren Teil des Kolbenhemdes vor. Beim Einbau des Kolbens muß man beachten, daß der auf dem Kolbenboden eingeschlagene Pfeil in Richtung des Auspuffes bzw. in Fahrtrichtung zeigt.

Zeigt ein Kolben leichte Freßstellen, die sich nicht über das gesamte Kolbenhemd erstrecken, dann werden diese mit einem in Öl getauchten Korundstein beseitigt. Es ist nicht zu empfehlen, für diese Arbeit Schmirgelleinewand zu verwenden, weil dadurch die danebenliegenden Stellen angegriffen werden und mehr Material beseitigt wird, als erforderlich ist. Überziehen die Freßstellen das gesamte Kolbenhemd, oder sollte Material über die Kolbenringe geschmiert worden sein, so ist der Kolben auszuwechseln.

Vor dem Zylinderauswechseln ist der Kolben auszuwinkeln. Das geschieht durch Richten des Pleuels. Ein Zeichen, daß der Kolben einseitig lief, ist Ölkohlebildung an einer Seite des Kolbenhemdes.



5.1.2.4 Kurbelwelle überprüfen und nachmessen

nächster Punkt ; Inhaltsverzeichnis

Vor dem Überprüfen und Nachmessen einer Kurbelwelle sind sämtlicher Schmutz und Ölrückstände zu beseitigen. Besonders die Lagerstellen sind gut mit Waschbenzin zu waschen und danach mit Preßluft auszublasen. Die Kurbelwelle wird zwischen die Körnerspitzen einer Drehbank gespannt:



Bild 31. Prüfen des Gleichlaufes der Kurbelwelle



noch besser eignet sich ein Auswinkelgerät. An das Pleuellager wird eine Mikrometerschraube angesetzt, mit welcher man das Radialspiel des Pleuellagers überprüfen kann. Dieses Spiel darf 0,015 mm nicht überschreiten. Das Axialspiel des Pleuels wird mit einer Fühllehre gemessen und soll 0,25 mm nicht überschreiten.

Eine weitere Überprüfung erstreckt sich auf Schlag der Kurbelwelle. Dazu wird an beiden Lagerspitzen der Kurbelwellenlager 6205 eine Mikrometeruhr angesetzt und die Welle gedreht. Am Ausschlag des Zeigers der Mikrometeruhr kann man den evtl. Schlag feststellen.

Es ist ferner zu kontrollieren, ob die Pleuelstange nicht verdreht ist. Dazu wird ein Prüfdorn in das Pleuellager gesteckt und verglichen, ob Prüfdorn und Kurbelwellenenden genau parallel laufen. Falls das Pleuel nachgerichtet werden muß, so darf zu diesem Zweck der Prüfdorn nicht verwendet werden. Über die Messung des Axialspiels der Kurbelwelle im Gehäuse ist unter 5.1.3, Punkt 10 geschrieben worden.



Bild 32. Prüfen des Axialspiels des Pleuellagers

Bild 33. Kurbelwelle ES 250 neue Ausführung (links), alte Ausführung (rechts)

Bild 34. Schalldämpfer zerlegen



Ab Motornummer 2106651 bei der ES 250 und ab Motornummer 4003285 bei der ES 175 werden neue Kurbelwellen mit abgedeckten Hubscheiben verwendet. Dadurch verändert sich die Breite der Kurbelwelle um 1,5 mm. Diese abgedeckte Kurbelwelle, mit der eine Verkleinerung des Vorkompressionsraumes erreicht wird, trägt zur Erhöhung des Spüldruckes bei.

Soll eine neue Kurbelwelle in einen alten Motor eingebaut werden, so ist es notwendig, beide Kurbelgehäusehälften gegen neue Gehäusehälften auszutauschen. Zur Unterscheidung der Kurbelwellen, die äußerlich für die Typen ES 250 und ES 175 völlig gleich sind, wird auf der Kurbelwange die Zahl 250 bzw. 175 mit Elektroschreiber angebracht.



5.1.2.5 Auspuffanlage

nächster Punkt ; Inhaltsverzeichnis

Die ES-Typen sind mit einer Auspuffanlage ausgerüstet, die nach dem Reflexionssystem arbeitet. Durch besondere Anordnung der Prallbleche und der Bohrungen im Auspuffmittelrohr werden die Auspuffgase mehrfach umgelenkt und somit weitgehend entspannt. Das Auspuffgeräusch wird auf diese Art auf ein Minimum reduziert. Nach einer Fahrtstrecke von etwa 500km ist es erforderlich, die Auspuffanlage zu reinigen. Zu diesem Zweck wird der Schalldämpfer auseinandergenommen. Sehr festsitzende Rückstände werden abgebrannt. Hierbei ist auf die Verchromung des Anschlußstückes zu achten, damit dieselbe nicht ausgeglüht wird.



Zerlegen des Schalldämpfers.

  1. Die Blechsicherung im Auspuffendstück wird aufgebogen und die Mutter mit einem 14 mm-Steckschlüssel entfernt.
  2. Das Auspuffendstück wird vom Auspuff abgezogen.
  3. Die Befestigung des Schalldämpfermantels am Rahmen wird gelöst und der Mantel nach hinten abgezogen.
  4. Die Befestigungsschelle wird gelockert und der Dämpfungseinsatz vom Auspuffrohr abgezogen.


Bei der Reinigung des Dämpfungseinsatzes ist besonders darauf zu achten, daß die vorhandenen Bohrungen nicht erweitert werden, weil sonst die Abstimmung des Schalldämpfers zum Motor nicht mehr stimmt und dadurch ein Leistungsverlust eintritt.

Der Zusammenbau des Schalldämpfers erfolgt sinngemäß in umgekehrter Reihenfolge.



5.1.3 Motor und Getriebe zusammensetzen

nächster Punkt ; Inhaltsverzeichnis

Benötigte Sonderwerkzeuge:

Einspannvorrichtung für Motor 05 H8 587 oder 05 MV 33-0
Spannring für Kolbenringe 05 MW 17-4 (ES 250)
02 MW 35-4 (ES 175)
Auflage für Kolben 05 MW 16a-4
Lehre zum Ermitteln der Axialluft der Kurbelwelle 05 ML 4-3
Gegenhalter für Antriebskettenrad 05 MW 14-4
Gegenhalter für großes Antriebszahnrad 05 MW 15-3
Spannvorrichtung zum Spannen der Kupplung 05 MV 47-2
Dorn für Radialdichtring (l. Gehäusehälfte) 05 MW 9-4
Dorn für Ringrillenlager 6303 05 MW 11-4
Dorn für Ringrillenlager 6205 05 MW 12-4
Profilsteckschlüssel für Kurvenwalze 02 MW 60-3
Profilsteckschlüssel für Leerlaufkontakt 05 MW 22-4
Hülse für Lagerrollen der Kupplung 05 MW 13-4


Zur Montage des Motors verwendet man wieder eine Einspannvorrichtung, wie unter Punkt 5.1.2 beschrieben wurde.



  1. In die linke Gehäusehälfte ist zunächst der Sprengring für das linke Kurbelwellenlager einzusetzen. Danach wird das Ringrillenlager 6205 in die linke Gehäusehälfte eingesetzt. Mit Hilfe des Domes 05 MW 9-5 kann der Radialdichtring eingedrückt werden, so daß die Lippe nach der Kupplung zu zeigt.
  2. Die Kurbelwelle mit dem langen Kurbelzapfen wird in die linke Gehäusehälfte eingelegt. Dieser Zapfen trägt später die Kupplung.


Bild 35. Einsetzen des Radialdichtringes in die linke Gehäusehälfte unter Verwendung des Dornes 05 MW 9-4



  1. In die Öffnungen für die Haupt- und die Antriebswelle werden je ein Sprengring zur Sicherung der Ringrillenlager eingesetzt. Für die Hauptwelle findet das Ringrillenlager 6204 und für die Antriebswelle das Ringrillenlager 6203 Verwendung. Beide Lager sind durch je einen weiteren Sprengring von innen gegen seitliches Wandern gesichert.
  2. Die Haupt- und die Antriebswelle werden zusammengestellt und dann zusammen mit der Kurvenwalze, den Schaltgabeln und dem Führungsbolzen für die Schaltgabeln in das Gehäuse gebracht. Die längere Schaltgabel zuerst nach links oben zeigend, dann die kürzere nach rechts oben zeigend.
  3. Nun sind die beiden Schaltarretierungen von unten her in die linke Gehäusehälfte einzusetzen, sie müssen in die Ausfräsungen der Kurvenwalze eingreifen. (Vorsicht beim Einbau, damit keine Kugel verlorengeht.)
    Mit dem Profilsteckschlüssel 02 MW 60-3 wird jetzt die Kurvenwalze gedreht und dabei kontrolliert, ob alle Gänge einwandfrei arbeiten.


Bild 36. Kontrolle der Schalträder und Sehaltgabeln durch Drehen der Kurvenwalze mit dem Profilsteckschlüssel 02 MW 60-3



  1. Sind die Gänge einwandfrei zu schalten, so wird die Fußschaltwelle mit dem Schaltstück eingebaut. Danach bringt man das Zahnsegment mit dem Kontaktblech an. Dabei ist darauf zu achten, daß sich der schräg angeschliffene Zahn der Kurvenwalze mit dem Körner deckt, der auf der Rückseite des Zahnsegmentes eingeschlagen ist.
  2. Auf die Hauptwelle wird nun der innere Laufring des Ring-Zylinderlagers NJL 17 DIN 5412 aufgeschoben, und zwar so, daß der Bund des Laufringes den Zahnrädern zu zeigt. Die Laufbuchse des 4. Gangrades darf beim Aufschieben des Lagerringes keinesfalls fest werden, weil sonst ein Festgehen des Zahnrades bzw. der Welle unvermeidlich ist.
  3. Die rechte Gehäusehälfte ist vorher auf einer Heizplatte, oder in einem Wärmeofen auf ca. 60 ... 80°C vorzuwärmen. Bevor mit dem Anbau dieser Gehäusehälfte begonnen wird, baut man das Ring-Zylinderlager in die rechte Gehäusehälfte ein. Danach setzt man mit Hilfe der beiden Paßhülsen das Gehäuse zusammen.
  4. Bevor nun das vorgewärmte Gehäuse erkaltet, setzt man das Ringrillenlager 6303 der Antriebswelle und das Ringrillenlager 6205 der Kurbelwelle in die rechte Gehäusehälfte ein. Dazu kommen die beiden Dorne 05 MW 11-4 und 05 MW 12-4 zur Verwendung.
  5. Das Gehäuse ist zusammenzuschrauben (14 Schraubenbolzen) um das Radialspiel der Kurbelwelle prüfen zu können. Dieses Spiel soll 0,01 bis 0,02 mm betragen und wird mit der Lehre 05 ML 4-3 gemessen. Das Meßinstrument wird mit einer Hand über den Kurbelwellenstumpf (Lichtmaschinenseite) angelegt. Mit der anderen Hand bewegt man die Kurbelwelle seitlich. Das vorhandene Axialspiel läßt sich so an der Meßuhr ablesen. Das Spiel wird durch Beilegscheiben zwischen Lageraußenring und Dichtkappe ausgeglichen.


Bild 37. Einsetzen des Ringrillenlagers 6303 mit dem Dorn 05 MW 11-4

Bild 38. Einsetzen des Ringrillenlagers 6205 mit dem Dorn 05 MW 12-4



  1. Die Leichtgängigkeit des l. und des 4. Gangrades nach dem Zusammenbau ist nochmals zu überprüfen. Beim l. Gangrad prüft man, indem man durch die Öffnung des Kickstarterritzels faßt und so die Leichtgängigkeit kontrolliert. Beim 4. Gangrad ist die Prüfung durch die Öffnung des Schaulochdeckels möglich.
  2. Die Dichtkappen der Lichtmaschine und der Antriebswelle sind festzuschrauben (Papierdichtung mit Dichtmasse).
  3. Auf der Kupplungsseite wird das große schrägverzahnte Zahnrad montiert und die Befestigungsmutter mit einer Blechsicherung gesichert.
  4. Anschließend wird das kleine Übertragungszahnrad angebracht. Besonders sorgfältig ist bei dieser Arbeit auf die 36 Zylinderrollen zu achten. Diese Rollen werden mit Fett in ihre Lagerstelle eingelegt und dann mit der Zentrierhülse Nr. 05 MW 13-4 gleichmäßig an den Kurbelwellenstumpf gedrückt. Die Hülse wird abgezogen und das kleine Übertragungszahnrad über die Lagerrollen geschoben. Die weitere Montage der Kupplung ist wie unter 5.1.4 beschrieben vorzunehmen.


Bild 39. Prüfen des Radialspiels der Kurbelwelle mit der Lehre 05 ML 4-3

Bild 40. Zentrierhülse 05 MW 13-4 zum Einsetzen der 36 Zylinderrollen zur Kupplungslagerung



  1. Kolben und Zylinder sind zu montieren. Die Montage des Kolbens ist mit keinerlei Schwierigkeiten verbunden, da der Bolzen Schiebesitz hat und nach einem ganz leichten Anwärmen des Kolbens auf etwa 30°C mit dem Finger eingedrückt werden kann. Vor dem Einsetzen ist der Kolben leicht einzuölen. Um ein Wandern des Kolbenbolzens zu verhindern, werden rechts und links in den Kolben je ein Drahtsprengring in die dafür vorgesehenen Sicherungsnuten eingesetzt. Die weitere Montage des Zylinders wird, wie unter 5.1.2.1 bereits beschrieben wurde, vorgenommen.
  2. Auf der Lichtmaschinenseite wird das Antriebskettenrad montiert und die Befestigungsmutter mit einer Blechsicherung gesichert. Danach ist der Tachometerantrieb anzubauen. Ist die Lichtmaschine montiert, wird die Zündung eingestellt. (Siehe 5.10.5.5.) Mit dem Lichtmaschinendeckel kann diese Motorseite nun verschlossen werden.
  3. Vor der Montage des Kupplungsdeckels ist zu prüfen, ob der Kickstarter eingreift und der Kupplungsbowdenzug richtig eingehängt wurden ist. Beim Anbau wird eine Papierdichtung ohne Dichtungsmittel untergelegt. Ganz besonders muß darauf geachtet werden, daß die Federspange des Mitnehmers zum Kickstarterzahnrad in die dafür vorgesehene Ausfräsung des Gehäuses eingesetzt wird.
  4. Zuletzt wird der Fußschalthebel und der kleine Abschlußdeckel montiert.


5.1.4 Kupplung ausbauen und überholen

nächster Punkt ; Inhaltsverzeichnis

Vor dem Ausbau der Kupplung ist das Öl abzulassen.



  1. Die Abschlußkappe mit dem Gummidichtring wird abgenommen.
  2. Die Haltemutter der Kupplung wird dadurch sichtbar. Der Splint ist zu entfernen und die Kronenmutter mit einem 22er Steckschlüssel abzuschrauben.
  3. Der Abschlußdeckel der Kupplungsseite wird gelöst.
  4. Nun wird der Kupplungsabzieher 05 MV 20-4 aufgesetzt und die Kupplung abgezogen. Während des Abziehens muß der Abzieher mit einem 24er Maulschlüssel gegengehalten werden.


Bild 41. Abziehen der Kupplung



  1. Auf das Doppelrollenlager, das die Kupplung trägt, ist zu achten. Es ist vorteilhaft, einen Behälter unter den Motor zu stellen, um herunterfallende Rollen (36 Stück) aufzufangen.


5.1.4.1 Wechsel der Kupplungslamellen

nächster Punkt ; Inhaltsverzeichnis

  1. Der abgezogene, komplette Kupplungskorb wird in die Spannvorrichtung 05 MW 47-2 eingesetzt und etwas zusammengedrückt.


Bild 42. Einzelteile der Kupplung

Bild 43. Vorrichtung zum Spannen und Entspannen der Kupplung



  1. Die Sicherungsbleche der 6 Halteschrauben sind aufzubiegen, die Muttern mit 9 mm-Schlüssel abzuschrauben und die 6 Senkschrauben nach unten herauszunehmen.
  2. Die Kupplung wird entspannt und dabei die Spannvorrichtung abgenommen.
  3. Nachdem der Deckel zum Zahnkranz abgenommen worden ist, kann man die Kupplungslamellen einzeln aus dem Kupplungskörper herausnehmen.


5.1.4.2 Wechsel des großen Antriebszahnrades

nächster Punkt ; Inhaltsverzeichnis

Benötigte Sonderwerkzeuge:

Gegenhalter 05 MW 15-3
Abzieher 05 MV 45-3
Abzieher für Kupplung


  1. Vor Beginn der Arbeiten, möglichst noch bei warmem Motor, Öl ablassen.
  2. Kupplungsdeckel abnehmen, Befestigungsmutter der Kupplung entsplinten und abschrauben. Nach Lösen der Halteschrauben wird der Abschlußdeckel abgenommen.
  3. Mit dem Kupplungsabzieher wird nun die Kupplung abgezogen (darauf achten, daß keine Lagerwalze der Kupplung verloren geht, 36 Stück).
  4. Vom großen Antriebszahnrad ist die Blechsicherung aufzubiegen, der Gegenhalter 05 MW 15-3 wird angesetzt und die Mutter mit einem 24 mm-Schlüssel abgeschraubt.
  5. Nach dem Lösen der Mutter wird der Abzieher 05 MW 45-3 angesetzt und unter gleichzeitiger Verwendung des Gegenhalters 05 MW 14-4 (am Antriebskettenrad ansetzen) das große Zahnrad abgezogen.


Zusammenbau in umgekehrter Reihenfolge.



Bild 44. Gegenhalter für großes Antriebszahnrad 05 MW 15-3

Bild 45. Abzieher zum Abziehen des großen Antriebszahnrades



5.1.4.3 Kickstarterkurbel und Feder ausbauen

nächster Punkt ; Inhaltsverzeichnis

Die Kickstarterwelle ist im Kupplungsdeckel und in der linken Gehäusehälfte des Motors gelagert. Das Kickstarterrad greift in das Zahnrad des l. Ganges ein und läuft mit. Beim Heruntertreten der Kickstarterkurbel wird durch eine Schnecke auf der Kickstarterwelle der Mitnehmer in Richtung des Kickstarterzahnrades verschoben. Die Klauen von Kickstarterzahnrad und Mitnehmer fassen zusammen, und die Kurbelwelle wird nun über die Räder des ersten Ganges, die Antriebswelle des Getriebes, über das Zahnrad auf der Antriebswelle und das Zahnrad auf der Kurbelwelle in Umdrehungen versetzt.

Als Kickstarterfeder wird eine Schraubenfeder verwendet, welche auf der einen Seite um den Bundbolzen der Kickstarterwelle faßt und auf der anderen Seite im Kupplungsdeckel sitzt.

Der Ausbau der Kickstarterkurbel und der Kickstarterfeder geht folgendermaßen vor sich:

  1. Getriebeöl ablassen.
  2. Der Abschlußdeckel und die Mutter der Kupplung ist abzunehmen. Die Halteschrauben des Kupplungsdeckels werden gelöst und der Deckel abgenommen.
  3. Am Kupplungshandhebel wird der Kupplungsbowdenzug ausgehängt. Der weitere Ausbau der Peder und des Kickstarterhebels ist nun leicht vorzunehmen, da der ausgebaute Deckel leicht zu handhaben ist.


Bild 46. Kupplungsbowdenzug einhängen



  1. Die Mutter der Keilschraube des Kickstarterhebels wird abgeschraubt und der Keilbolzen mit einem Dorn herausgeschlagen. Das freie Ende der Kickstarterwelle wird zu diesem Zweck mit Leichtmetallbacken in einen Schraubstock eingespannt.
  2. Ist die Kickstarterkurbel, abgenommen worden, läßt sich der Kupplungsdeckel abnehmen und ebenso leicht die Feder von der Kickstarterwelle.


5.1.5 Arbeiten an der Lichtmaschine und an der elektrischen Anlage des Motors

5.1.5.1 Ausbau der Lichtmaschine

nächster Punkt ; Inhaltsverzeichnis

Benötigte Sonderwerkzeuge:

Abdrückschraube für Anker    02 MW 39-4



  1. Batterie abklemmen.
  2. Abschlußdeckel auf der Lichtmaschinenseite des Motors abnehmen.
  3. Kabelanschlüsse an der Haltekappe der Lichtmaschine abnehmen. Es sind 4 Kabel zu lösen:

    Kabel DF = grün/blau
    Kabel D  = grün
    Kabel 31 = braun
    Kabel 1  = blau
  4. Jetzt werden die Halteschrauben der Haltekappe gelöst, die Haltefedern der Schleifkohlen abgenommen und die Schleifkohlen in ihren Führungen etwas zurückgezogen.
  5. Mit einem 11 mm-Schlüssel wird die Ankerhalteschraube schraubt. Der Nockenträger wird gelockert.


Bild 47. Ausbau Haltekappe

Bild 48. Ankerausbau



  1. Die Haltekappe wird nun zusammen mit dem Nockenträger abgenommen.
  2. Der Anker muß mit der Abdrückschraube 02 MW 39-4 abgezogen werden. Das geschieht, indem die Abdrückschraube in das Gewinde der Ankerhalteschraube eingedreht wird. Dabei muß der Anker mit der Hand gegengehalten werden. (Sollte es nicht möglich sein, den Anker mit der Hand zu halten, so ist der Gegenhalter 05 MW 14-4 zu verwenden, der am Antriebskettenrad angesetzt werden muß. Dabei l. Gang einschalten.)


5.1.5.2 Pflege von Lichtmaschine und Unterbrecher

nächster Punkt ; Inhaltsverzeichnis

Vom einwandfreien Zustand der Lichtmaschine und des Unterbrechers hängt die störungsfreie Funktion der Lichtanlage und der Zündung ab. In gewissen Zeitabständen ist es deshalb erforderlich, diese beiden wichtigen Teile zu überprüfen und schadhaft gewordene Teile zu ersetzen.

Bei der Lichtmaschine erstreckt sich die Kontrolle auf folgende Teile:

  1. Polschuhe und Erregerspulen
  2. Anker und Kollektor
  3. Kohlebürsten und Bürstenhalter

Wenn irgendwelche Arbeiten an der Lichtmaschine ausgeführt werden, dann ist die Anlage grundsätzlich stromlos zu machen. Vor Beginn der Arbeiten wird deshalb die Sicherung aus dem Klemmbrett entfernt.



Lichtmaschine

  1. Etwa alle 5000 km kontrolliert man, ob die Erregerwicklungen der Lichtmaschine unbeschädigt sind. Dazu muß die Haltekappe abgenommen werden, wie es unter 5.1.5.1, Punkt l ... 6 beschrieben ist.
    Besonders achte man auf Schleifspuren, die einmal auf den Polschuhen und zum anderen auf dem Anker sichtbar werden können. Bei solchen Anzeichen ist zu untersuchen, wo die Fehlerquelle liegt, damit sofort Abhilfe geschaffen werden kann.
    Es ist möglich, daß der Anker schlägt, oder daß zuviel Lagerspiel der Kurbelwelle vorhanden ist.
  2. Der Kollektor ist auf eingelaufene Stellen zu untersuchen. Zwischen den einzelnen Lamellen des Kollektors befinden sich Isolierblättchen, welche etwas mehr zurückstehen müssen, als die Lamellen des Kollektors. Sollte das wegen Verschmutzung oder Abnutzung nicht mehr der Fall sein, dann sind die Zwischenräume mit einem geeigneten Instrument freizumachen bzw. auszustoßen, so daß die Isolierblättchen etwa 0,2 mm zurückstehen.
    Ein eingelaufener Kollektor ist zu überdrehen und anschließend ebenfalls wie beschrieben auszustoßen. Die Kohlebürsten müssen mit der ganzen Fläche auf dem Kollektor aufliegen.
  3. Die Kohlebürsten müssen in ihren Führungen leicht gleiten und der Federdruck die vorgeschriebenen Werte erreichen. Bei zuwenig Federdruck fangen die Kohlebürsten auf dem Kollektor an zu springen, es entsteht Bürstenfeuer, und durch die entstandene Wärme glühen die Druckfedern der Kohlebürsten aus. Zu schwache Federn und zu weit abgenutzte Bürsten sind unverzüglich auszuwechseln (dabei nur Originalteile verwenden).
  4. Vor dem Zusammenbau sind alle Teile der Lichtmaschine von Staub und Schmutz zu befreien. (Ausblasen mit Preßluft.) Verölte Teile sind mit reinem (ölfreiem) Benzin auszuwaschen. Es ist aber darauf zu achten, daß vor dem Einbau alle Teile restlos trocken sind.
    Ist die Haltekappe der Lichtmaschine montiert, so wird bei langsamem Durchdrehen festgestellt, ob der Anker rundläuft. (Der Motor wird dazu ohne Zündkerze durchgedreht, um jeden Punkt an dem der Anker schleifen könnte, sofort feststellen zu können.)


Unterbrecher

  1. Die Unterbrecherkontakte sind auf Abbrand zu untersuchen. Angeschmorte Kontakte sind mit einer Kontaktfeile zu glätten, während stark verbrannte Kontakte ausgetauscht werden müssen. Stark verbrannte Kontakte lassen auf einen beschädigten bzw. nicht arbeitenden Kondensator schließen. Sollte sich beim Probelauf ein starkes Kontaktfeuer zeigen, dann muß der Kondensator ausgetauscht werden.
  2. Der Abstand der Unterbrecherkontakte ist auf 0,4 mm mit einer Fühllehre einzustellen. Der Schmierfilz des Unterbrechers wird mit 2 Tropfen Motorenöl versehen. Beim Durchdrehen des Motors ist darauf zu achten, daß der Schmierfilz nur die höchste Stelle des Nockens berührt. (Auf diese Weise wird ein Verölen der Kontakte verhindert.)
  3. Die Fliehgewichte müssen leicht und gleichmäßig auseinandergehen. Evtl. Rostansatz ist zu beseitigen, und mit einem Tropfen Öl läßt sich die Leichtgängigkeit verbessern. Wichtig ist eine gleichmäßige Federspannung. (Ungleichmäßig arbeitende Federn sind auszuwechseln.)
  4. Die Kabelanschlüsse der Lichtmaschine und des Unterbrechers sind nachzuziehen. Ebenso ist auf einwandfreie Isolierung sämtlicher Kabel zu achten.


Bild 49. Einstellen der Unterbrecherkontakte



5.1.5.3 Auswechseln des Reglers

nächster Punkt ; Inhaltsverzeichnis

  1. Ist der Austausch des Reglerschalters erforderlich, dann nimmt man bei der ES 250 den rechten Deckel der Hinterradverkleidung ab. Bei der ES 175 dagegen wird nur der linke Verkleidungsdeckel abgenommen. Der Regler ist nun zugänglich.
  2. Bevor man mit der Arbeit an der elektrischen Anlage beginnt, wird die Sicherung aus dem Klemmbrett entfernt und dadurch die Anlage stromlos gemacht.


Bild 50. Regler und Sicherung bei ES 250

Bild 51. Regler und Sicherung bei ES 175



  1. Nun entfernt man die Kabel 51 (rot-grün), DF (grün-blau) und D (2 grüne Kabel).
  2. Sind die 3 Halteschrauben des Reglers entfernt worden, kann der Regler abgenommen werden.
  3. Der Einbau eines neuen oder des instand gesetzten Reglers wird sinngemäß in umgekehrter Reihenfolge vorgenommen.


5.1.5.4 Ausbau der Zündspule

nächster Punkt ; Inhaltsverzeichnis

Die Zündspule 6 Volt A DIN 72531 ist am mittleren Rahmenrohr unter dem Kraftstoffbehälter zusammen mit dem Signalhorn in einem gemeinsamen Halter geschützt untergebracht.



Bild 52. Kraftstoffbehälter abnehmen

Bild 53. Zündspule und Signalhorn



Beim Ausbau verfährt man folgendermaßen:

  1. Der Kraftstoffbehälter wird entleert. Der Kraftstoffschlauch, der beide Hälften des Kraftstoffbehälters verbindet, wird abgenommen.
  2. Der Fahrersattel wird aufgeklappt und die 4 Befestigungsschrauben herausgeschraubt. Der Sattel kann nun abgenommen werden.
  3. Die vordere und die hintere Befestigungsschraube des Kraftstoffbehälters werden gelöst und der Kraftstoffbehälter nach hinten oben abgenommen.
  4. Nachdem die Gummischutzkappen der Kabelanschlüsse zurückgeschoben worden sind, werden das Kabel l (blau), das Kabel 15 (schwarz-weiß-blau) und das dicke Hochspannungskabel zur Zündkerze, abgenommen.
  5. Die beiden oberen Befestigungsschrauben der Schelle werden gelockert, und nun kann die Zündspule nach hinten aus der Halterung herausgezogen werden.


5.1.5.5 Einstellen der Zündung

nächster Punkt ; Inhaltsverzeichnis

Benötigte Sonderwerkzeuge:

Lehre zum Einstellen der Zündung 02-ML 10-3
Prüflampe



  1. Die Abschlußkappe des Motors auf der Lichtmaschinenseite muß entfernt und die Zündkerze herausgeschraubt werden.
  2. An Stelle der Zündkerze ist die Lehre zum Einstellen der Zündung einzuschrauben.
  3. Bevor man eine genaue Einstellung der Zündung vornehmen kann, müssen die Unterbrecherkontakte gesäubert und auf den Abstand von 0,4 mm eingestellt werden. (Es ist darauf zu achten, daß die Einstellung der Kontakte an höchster Nockenstelle vorgenommen wird.)
  4. Zum Festlegen des Zündzeitpunktes wird die Prüflampe an das Kabel Nr. l angeklemmt (blaues Kabel, das Strom von der Zündspule zuführt).
  5. Mit einem 11 mm-Schlüssel wird nun der Motor in Drehrichtung gedreht, bis der obere Totpunkt erreicht ist (OT wird genau mit der Prüflehre festgestellt). Dann wird der Motor 3,5 mm zurückgedreht, und an dieser Stelle muß bei voll ausgedrückten Fliehgewichten die angeklemmte Prüflampe aufleuchten.


Bild 54. Zündeinstellehre 02 ML 10-3

Bild 55. Prüflampe zur Zündeinstellung

Bild 56. Lichtmaschine



  1. Leuchtet die Lampe früher oder später auf, muß nach Lockern der beiden Klemmschrauben l und 2 die Unterbrechergrundplatte verstellt werden, bis die vorgeschriebene Einstellung erreicht ist.
    Verdrehen der Unterbrechergrundplatte in Drehrichtung ergibt Spätzündung, entgegengesetzt Frühzündung.
  2. Prüflampe abklemmen, alle Schrauben nochmals auf festen Sitz überprüfen und Abschlußdeckel montieren. Lehre zum Einstellen der Zündung abnehmen und Zündkerze einschrauben.
    Der angegebene Vorzündungswert ist in langen Versuchsreihen als der günstigste Wert ermittelt worden und darf nicht verändert werden.
    Schlechte Leistung und ein erhöhter Verbrauch sind die Folgen falscher Zündeinstellung.


ES 175

Bei der ES 175 werden die gleichen Arbeitsgänge durchgeführt. Nur ist hier darauf zu achten, daß der Zündzeitpunkt 4,0 mm vor dem oberen Totpunkt liegt.



5.1.5.6 Zündungsstörungen, ihre Ursache und Behebung Störung

nächster Punkt ; Inhaltsverzeichnis

Störung Ursache Behebung
Kein Funke an der Zündkerze
  1. Zündung nicht eingeschaltet
  2. Batterie entladen
  3. Zündkerze defekt
  4. Unterbrecherhebel hebt nicht ab
  5. Die Kabel 1 oder 15 zur Zündspule sind unterbrochen
  6. Unterbrecherkontakte sind stark verbrannt
  7. Zündspule defekt
  8. Sicherung durchgebrannt
  9. Kondensator defekt
  1. Einschalten
  2. Batterie laden
  3. Kerze wechseln
  4. gangbar machen, bzw. nachstellen
  5. Kabel erneuern, bzw. Verbindung wieder herstellen
  6. säubern, bzw. austauschen
  7. Zündspule wechseln
  8. Sicherung erneuern
  9. Kondensator wechseln
Zündung setzt zeitweise aus
  1. falsche Zündzeitpunkteinstellung
  2. Zündkerze verbraucht, bzw. falscher Wärmewert
  3. Unterbrecherkontakte stark verbrannt
  4. falscher Abstand der Kerzenelektroden
  5. Unterbrecherhebel hängt
  6. Kondensator defekt
  7. lockere Kabelanschlüsse an der Zündspule
  1. vorgeschriebenen Wert einstellen
  2. Kerze erneuern
  3. mit Kontaktfeile säubern, bzw. Kontakte erneuern
  4. Elektroden einstellen (0,6 mm)
  5. gangbar machen
  6. Kondensator wechseln
  7. Kabelanschlüsse nachziehen
schwacher Zündfunke
  1. Batterie zu schwach, bzw. entladen
  2. Störschutzwiderstand (Kerzenstecker) nicht in Ordnung
  3. schlechter Kabelanschluß bzw. oxydierte Kabelanschlüsse
  1. prüfen und nachladen
  2. Störschutzwiderstand bzw. Kerzenstecker austauschen
  3. Anschlüsse säubern und neu befestigen


5.1.6 Arbeiten am Vergaser

5.1.6.1 Vergaser ausbauen und einbauen

nächster Punkt ; Inhaltsverzeichnis

  1. Kraftstoffhahn schließen und Kraftstoffschlauch vom Schwimmergehäusedeckel abziehen.
  2. Ringmutter am Schiebergehäuse abschrauben und Gas- und Luftschieber nach oben herausziehen.
  3. Mutter der Vergaserabdeckkappe lösen und entfernen. Vergaserabdeckkappe abnehmen.
  4. Klemmschraube für Ansaugrohr lösen. Das Ansaugrohr läßt sich nun in den Ansauggeräuschdämpfer zurückschieben.
  5. Vergaserklemmschraube lösen und den Vergaser vom Ansaugstutzen abziehen.


Bild 57. Vergaser

Bild 58. Vergaser



Der Anbau erfolgt in umgekehrter Reihenfolge.

Beim Anbau ist zu beachten, daß der Vergaser nicht verdreht angebaut wird, d. h. die Mischkammer muß genau senkrecht stehen. Es ist ferner zu überprüfen, ob die beiden Seiten des Gasschiebers genau parallel verlaufen, weil sonst der Gasschieber klemmt. Nicht verdreht einbauen.

(Luftschieberanschnitt zeigt nach hinten), die Nase des Mischkammerdeckels muß in den dafür vorgesehenen Ausschnitt eingreifen.

Darauf achten, daß die Düsennadel beim Einbau nicht verbogen wird.



5.1.6.2 Vergaser zerlegen und überholen

nächster Punkt ; Inhaltsverzeichnis

  1. Schwimmergehäusedeckel abnehmen und Schwimmer mit Schwimmernadel herausnehmen.
  2. Hohlschraube am Fuß des Mischgehäuses entfernen und das Schwimmergehäuse abnehmen.
  3. Hauptdüse und Nadeldüse herausnehmen.
  4. Leerlauf düse entfernen.
  5. Leerlaufluftschraube und Luftdüse herausschrauben.
  6. Zerstäubereinsatzstück nach oben aus der Mischkammer herausschieben.
  7. Alle Einzelteile mit sauberem Kraftstoff waschen.
  8. Sämtliche Teile auf Verschleiß überprüfen.

    Die Düsen werden mit Preßluft durchgeblasen. Nadeln, Draht und andere harte Gegenstände sind zu vermeiden, weil dadurch die feinen Bohrungen der Düsen erweitert werden. Beschädigte Düsen sind auszuwechseln.
    Die Düsennadel darf nicht verbogen oder ausgeschlagen sein. Nicht einwandfreie Nadel ersetzen.
    Beim Gasschieber ist darauf zu achten, daß die Schieberseiten parallel verlaufen, sonst klemmt der Schieber, und beim Fahrbetrieb gibt es unangenehme Situationen.
    Die Leerlauf-Luftschraube darf nicht beschädigt oder ausgeschlagen sein, weil dann ein sauberes Einregulieren des Leerlaufes nicht möglich ist.
    Der Schwimmer ist auf seine Dichtheit zu prüfen, indem er geschüttelt oder in heißes Wasser getaucht wird. Undichte Schwimmer sind zu ersetzen.
    Schwimmernadel und Nadelsitz dürfen keinesfalls ausgeschlagen oder beschädigt sein, weil sonst der Kraftstoff im Vergaser zu hoch steht und ein erhöhter Verbrauch die Folge ist. Schadhafte Teile austauschen.
    Dichtungen sind zu überprüfen und schadhafte Dichtungen zu ersetzen.

  9. Zusammenbau des Vergasers geschieht in umgekehrter Reihenfolge wie das Zerlegen.


5.1.6.3 Einzelteile des Vergasers

nächster Punkt ; Inhaltsverzeichnis

Bild 59. Einzelteile des Vergasers



Vergasertyp BVF N 271-0 und BVF N 25,5

  1. Feder für Luftschieber
  2. Luftschieber
  3. Feder für Flachschieber
  4. Klemmbügel für Düsennadel
  5. Verschlußmutter
  6. Flachschieber
  7. Düsennadel
  8. Schiebergehäusekappe
  9. Einsatzstück
  10. Klemmring
  11. Dichtung für Einsatzstück
  12. Schwimmergehäusedeckel
  13. Gasschieberanschlagschraube
  14. Leerlaufluftschraube
  15. Mischkammergehäuse
  16. Luftdüse
  17. Schwimmer
  18. Nadeldüse
  19. Hauptdüse
  20. Leerlaufdüse
  21. Dichtung für Leerlaufdüse
  22. Dichtung für Schwimmergehäuse
  23. Dichtung für Schwimmergehäuse
  24. Schwimmergehäuse
  25. Hohlschraube
  26. Dichtung für Verschlußkappe
  27. Verschlußkappe


5.1.6.4 Einstellung des Leerlaufes

nächster Punkt ; Inhaltsverzeichnis

Voraussetzung für eine saubere Leerlaufeinstellung ist ein Motor, der mechanisch in Ordnung ist. Die vorgeschriebene Vergasereinstellung und die vorgeschriebene Zündeinstellung sind weitere Voraussetzungen für einen guten Leerlauf.



  1. Leerlaufdüse säubern.
  2. Motor warmlaufen lassen.
  3. Lufthebel ganz öffnen.
  4. Stellschraube des Gasbowdenzuges so einstellen, daß etwa l mm toter Gang vorhanden ist.


Bild 60. Einstellung des Leerlaufs



  1. Leerlaufluftschraube ganz hineindrehen (Rechtsdrehung) und dann 2,5 Umdrehungen herausdrehen (Linksdrehung).
  2. Gasschieberanschlagschraube einstellen, daß der Motor gerade noch durchläuft.
  3. Stellschraube für Gasbowdenzug nachstellen, daß nur noch ein ganz geringer toter Gang vorhanden ist.
  4. Gegenmuttern sichern.


5.1.6.5 Vergasereinstellungen von ES 250 und ES 175

nächster Punkt ; Inhaltsverzeichnis

Vergasertype BVF N 271-0 BVF N 261-7
Hauptdüse 110 (105) 100 (95)
Düsenstock 67 67
Nadelstellung 4 4
Leerlaufdüse 45 45
Leerlaufluftschraube 2,5 U/offen 2,5 U/offen
Gasschieber 35 35
Durchlaß 27 mm 25,5 mm
Leerlauf-Luftdüse 80 80


5.1.7 Allgemeines über Mischungsschmierung

nächster Punkt ; Inhaltsverzeichnis

Die Schmierung der ES-Zweitaktmotoren erfolgt durch Mischungsschmierung, d. h. durch Zugabe von Motorenöl zum Kraftstoff im Verhältnis von 1:25 (1 l Motorenöl auf 25 l Kraftstoff).

Das Öl und der Kraftstoff müssen innig miteinander vermischt werden, wozu man sich einer Mischkanne bedient. In einer Mischkanne mit einem Rührwerk oder einem Stampfer wird eine gute Durchmischung erzielt. Steht eine solche Kanne nicht zur Verfügung, so kann man in einem Kanister unter kräftigem Schütteln oder Schwenken ebenso eine brauchbare Mischung herstellen.

Öl und Kraftstoff getrennt in den Kraftstoffbehälter einfüllen und durch die Fahrbewegungen der Maschine mischen zu wollen, ist zwecklos, weil so keine innige Vermischung zustande kommt.

Die Mischungsschmierung hat den Vorteil, daß man Sommer wie Winter die gleiche Ölqualität verwenden kann und der Motor stets Frischöl erhält. Fortfall störungsempfindlicher Teile, wie Ölpumpe, gesonderter Ölbehälter, Rohrleitungen u. ä. Der Motor bekommt in jedem Drehzahlbereich seine entsprechend abgestimmte Menge Schmiermittel automatisch durch den Kraftstoff zugeführt.

Es ist falsch, dem Kraftstoff mehr Öl beizumischen, als vorgeschrieben ist. Eine stärkere Beimischung von Öl ergibt unter Umständen einen schwereren Start und vor allen Dingen eine erhöhte Rückstandsbildung im Motor. Auslaßschlitze, Kolbenboden und Schalldämpfer werden von der Ölkohle zugesetzt, so daß sehr bald eine Verminderung der Leistung und eine Neigung zu Glühzündungen eintritt.

Eine Öl-Kraftstoff-Mischung kann ca. 3 Monate gelagert werden, ohne daß eine Entmischung eintritt.



5.2 Gruppe Getriebe

5.2.1 Wechsel von Antriebskettenrad, Tachoantrieb und Leerlaufanzeige

5.2.1.1 Wechsel des Antriebskettenrades

nächster Punkt ; Inhaltsverzeichnis

a) Ausbau

  1. Abschlußdeckel des Motors auf der Lichtmaschinenseite lösen und abnehmen.
  2. Tachometerantrieb abschrauben und ablegen.
  3. Sicherungsblech der Haltemutter des Antriebskettenrades aufbiegen.
  4. Befestigungsmutter mit 22er Schlüssel und unter Verwendung des Gegenhalters 05 MW 14-4 lösen und abschrauben.

    Lösen der Befestigungsmutter des Antriebskettenrades.
  5. Abzieher 05 MV 45-3 an das Antriebskettenrad ansetzen und abziehen.


Bild 61. Gegenhalter 05 MW 14-4

Bild 62. Abzieher 05 MV 45-3



b) Einbau

  1. Antriebskettenrad auf die Antriebswelle aufschieben, Sicherungsblech aufsetzen und Mutter heften. (ES 250 20 Zähne - ES 175 18 Zähne).
  2. Mutter wieder unter Verwendung des Gegenhalters 05-MW 14-4 festziehen.
  3. Sicherungsblech umbiegen (Mutter sichern).
  4. Tachometerantrieb einsetzen und festschrauben.
  5. Abschlußdeckel montieren.


5.2.1.2 Ausbau des Tachometerantriebes

nächster Punkt ; Inhaltsverzeichnis

Der Tachometerantrieb ist in einem besonderen Gehäuse untergebracht, das mit 3 Schrauben mit der rechten Motorgehäusehälfte verbunden ist. Der Antrieb des Schraubenrades im Tachometerantriebsgehäuse erfolgt durch die Antriebswelle des Getriebes. Die drehende Bewegung des Schraubenrades wird über ein Ritzel an die Tachometerwelle abgegeben, die das Tachometer selbst antreibt.



  1. Um den Tachometerantrieb ausbauen zu können, wird der Lichtmaschinendeckel abgenommen.
  2. Die Überwurfmutter der Tachometerspirale wird mit einer Zange gelöst und die Tachometerwelle vom Antriebsgehäuse abgezogen.

    Beim Anbau des Tachometerantriebes ist besonders darauf zu achten, daß genügend Abschmierfett an allen Lagerstellen vorhanden ist. Nach dem Abschmieren des Kugelwulstschmierkopfes muß das Abschmierfett an allen 3 sichtbaren Lagerstellen (Schraubenrad und Ritzel) austreten. Wenn das nicht beachtet wird, besteht die Gefahr des Festfressens der Schraubenradwelle.


Bild 63. Ausbau des Tachometerantriebsgehäuses



5.2.1.3 Ausbau des Leerlauf-Anzeigekontaktes

nächster Punkt ; Inhaltsverzeichnis

Benötigte Sonderwerkzeuge:

Profilsteckschlüssel 05 MW 22-4
Gegenhalter 05 MW 14-4
Abzieher 05 MV 45-3


Die gesamte Leerlaufanzeige besteht aus einem Kontakt, der, von einem Isolierkörper umgeben, in die rechte Motorgehäusehälfte eingeschraubt ist, einem Kontaktblech, angenietet am Zahnsegment der Fußschaltung, dem Kabel und der Kontrollampe im Scheinwerfer. Störungen können auftreten, wenn die Kontrollampe durch Kabelbeschädigungen oder durch schadhaften Isolierkörper durchgebrannt ist.

Das Auswechseln des Isolierkörpers wird wie folgt vorgenommen:



  1. Der Lichtmaschinendeckel des Motors wird entfernt.
  2. Der Tachometerantrieb wird nach Lösen der 3 Halteschrauben abgenommen und, ohne daß die Tachometerwelle abgeschraubt wird, seitlich abgelegt.
  3. Das Hinterrad wird gedreht, bis das Kettenschloß auf dem Antriebskettenrad erscheint. Die Sicherung ist mit der Flachzange zu lösen. Nachdem das Kettenschloß entfernt worden ist, sind die beiden Enden der Kette seitlich abzulegen.
  4. Nun wird das Sicherungsblech der Befestigungsmutter des Antriebskettenrades aufgebogen, der Gegenhalter 05 MW 14-4 angesetzt und die Befestigungsmutter abgeschraubt.


Bild 64. Profilsteckschlüssel 05 MW 22-4 zum Aus- und Einbau des Isolierkörpers der Leerlaufanzeige



  1. Mit dem Abzieher 05 MV -15-3 wird das Antriebskettenrad von der Antriebswelle abgezogen. Dabei ist der l. Gang einzulegen.
  2. Der Isolierkörper der Leerlaufanzeige ist jetzt zugänglich. Nun wird das Kabel gelöst und dann der Isolierkörper mit dem Profilsteckschlüssel 05 MW 22-4 herausgeschraubt.


Einbau

Bevor der neue Isolierkörper der Leerlaufanzeige eingesetzt wird, ist durch die Öffnung der rechten Gehäusehälfte zu beobachten, ob bei eingeschaltetem Leerlauf die auf dem Zahnsegment der Fußschaltung angenietete Metallzunge, genau in der Mitte der Öffnung steht. Geringe Differenzen lassen sich nachrichten. Erst nach dieser Kontrolle ist die Gewähr, gegeben, daß die Leerlaufanzeige einwandfrei arbeitet.



5.3 Gruppe Fahrgestell

5.3.1 Rahmen, Vorderträger und Sattelträger

5.3.1.1 Auswechseln des Vorderkotflügels und des Vorderträgers

nächster Punkt ; Inhaltsverzeichnis

  1. Vordergabel komplett aus der Maschine ausbauen.
  2. Federbeine und Vorderschwinge ausbauen.
  3. Kotflügel aus dem Vorderträger entfernen.
  4. Neuen Vorderträger in die Haltevorrichtung Nr. 05 MV 43-0, in Haltevorrichtung Nr. 05 MV 46-4 oder in die Haltevorrichtung Nr. 05 MV 46/2 einspannen, damit der Kotflügel in den neuen Vorderträger eingepaßt werden kann.
  5. Beim Einpassen des Kotflügels in den neuen Vorderträger ist darauf zu achten, daß auf jeder Seite ein gleichmäßiger Luftspalt vorhanden ist. Wenn erforderlich, müssen die Kanten des Vorderträgers mit dem Zieheisen Nr. 05 MW 46-4 oder mit dem Hammer nachgerichtet werden.


Bild 65. Einspannen des Vorderkotflügels in den Kastenträger

Bild 66. Kanten richten am Kastenträger



  1. Der Gummiköder wird rings um die Kante des Vorderträgers verlegt.
  2. Kotflügel einlegen und mit den zwei Befestigungsschrauben 8 x 20 festschrauben.
  3. Unter Verwendung der Holzeinlage Nr. 05 MV-61-3 werden an den unteren Enden des Kotflügels zwei Löcher 6,4 mm Dmr. gebohrt.


Bild 67. Einlegen des Köders

Bild 68. Verbohren der Kotflügelenden mit Holzgegenlage

Bild 69. Montage der Vordergabel

Bild 70. Kotflügelverschraubung auf beiden Seiten

Bild 71. Montagevorrichtung Nr. 05 MV 43-0

Bild 72. Einfache Haltevorrichtung Nr. 05 MV 60-2



  1. Nach dem Verschrauben mit zwei Schrauben 6 X 15 werden die beiden Enden des Gummiköders mit den dafür vorgesehenen Blechstreifen festgeklemmt.
  2. Danach wird, wieder unter Verwendung der Haltevorrichtung, die gesamte Vordergabel komplettiert und kann in die Maschine eingebaut werden.


Bild 73. Einspannvorrichtung Nr. 05 MV 46-2



5.3.1.2 Auswechseln des Hinterkotflügels und des Sattelträgers

nächster Punkt ; Inhaltsverzeichnis

Der Sattelträger ist die Verlängerung des Mittelrahmens nach hinten. Er trägt die beiden Sättel und den hinteren Kotflügel und ist mit dem Rahmen verschraubt. Er dient als obere Abstützung der beiden hinteren Federbeine. An der linken Seite ist ein Handgriff angebracht, der als Hilfe beim Aufstellen der Maschine dient.

Ausbau des Sattelträgers:

  1. Die beiden hinteren Federbeine sind abzuschrauben und die Verkleidungsbleche links und rechts unterhalb des Fahrersattels abzunehmen. Bei der ES 250 ist besonders darauf zu achten, daß die Plus- und Minuskabel am Klemmbrett sowie die Kabel des Reglers abgenommen werden (siehe 5.1.5.2).
  2. Der Fahrersattel und der Soziussattel werden nach Lösen der Befestigungsschrauben im Innern der Werkzeugbehälter unter der Satteldecke abgenommen.
  3. Das Kabel des Bremslichtschalters ist abzunehmen. Das Bremsgestänge und die Zugstrebe sind zu lösen, die Steckachse muß herausgeschraubt und das Hinterrad aus dem Dämpfungskörper gezogen werden.
  4. Die Schutzkappe des Rücklichtes wird nach Lösung der Schlitzschraube abgenommen und das Kabel abgeklemmt. Anschließend wird das Kabel aus den Laschen unter dem Kotflügel herausgezogen.
  5. Nun werden die 4 Befestigungsschrauben gelöst und der Kotflügel abgenommen.
  6. Nachdem die beiden Halteschrauben des Sattelträgers entfernt worden sind, kann der Träger nach hinten herausgezogen werden.


Einbau des Sattelträgers

  1. Der neue Sattelträger wird am Rahmen angesetzt und mit den beiden Halteschrauben befestigt. An der hinteren Halteschraube sind die zwei Befestigungslaschen für die Blechverkleidung der ES 250 mit zu befestigen.
  2. Der hintere Kotflügel ist mit vier Schrauben gehalten. Um den Kabelstrang zur Schlußlampe besser in die dafür vorgesehenen Laschen einziehen zu können, empfiehlt es sich, die Umhüllung mit etwas Fett zu bestreichen. Ist der Kabelstrang eingeführt, werden die Anschlüsse im Rücklicht angeklemmt und die Schutzkappe montiert.
  3. Das Hinterrad wird eingesetzt und die Bremsstange befestigt. Gleichzeitig wird eine Einstellung der Hinterradbremse vorgenommen, wie es unter 5.3.5.2 beschrieben ist. Das Kabel des Bremslichtschalters ist anzuschließen.
  4. Die Seitenverkleidungen werden angebracht und bei der ES 250 die Kabel des Reglers wie unter 5.1.5.2 beschrieben angeklemmt. Ist der Stromkreis der Anlage wieder hergestellt, empfiehlt es sich, eine Überprüfung des Bremslichtschalters vorzunehmen. Die Einstellung desselben ist unter 5.3.5.3 beschrieben.
  5. Die Sättel und die hinteren Federbeine sind zu montieren.
    Besondere Sorgfalt bei der Montage des Sattelträgers ist auf das Festziehen der zwei Halteschrauben des Sattelträgers zu verwenden. Nicht einwandfreie Befestigung hat negative Auswirkungen auf die Fahrstabilität der Maschine.


Bild 74. Ausbau des Sattelträgers

Bild 75. Anschließen der Kabel im Rücklicht

Bild 76. Sättel bei den E S-Typen



5.3.1.3 Ausbau des Fahrer- und Soziussattels

nächster Punkt ; Inhaltsverzeichnis

Die Sättel der ES-Typen sind in ihrem Unterteil als Behälter ausgebildet, in denen Werkzeug und Kleingepäck untergebracht werden kann. Jeder Behälter ist mit Hilfe eines Einsteck-Sicherheitsschlosses verschließbar. Zu einer Maschine werden 3 Schlösser mitgeliefert. Alle 3 Schlösser können mit dem gleichen Schlüssel geschlossen werden.

Die Sitzfläche der beiden Sättel besteht aus einer Schaumgummiplatte, die mit einer Gummidecke überzogen ist.

Der Fahrer- und Soziussattel ist mit je 4 Schrauben auf dem Sattelträger befestigt.

Die Demontage der Sättel geht wie folgt vor sich:

Die Sattelbehälter werden geöffnet und die 4 Halteschrauben (8 x 20) mit einem 14 mm-Steckschlüssel herausgeschraubt. Der Sattel kann nun nach oben abgehoben werden.



5.3.1.4 Nachstellen des Lenkungslagers

nächster Punkt ; Inhaltsverzeichnis

Das Gabelrohr des Vorderträgers ist in zwei Lenklagern gelagert. Jedes Lager besteht aus einer Steuerschale und einem Steuerkonus mit 21 Stahlkugeln von 6,35 mm Dmr.

Ist bei aufgebockter Maschine beim Vor- und Zurückbewegen des Vorderkotflügels Spiel im Lenklager festzustellen, so muß nachgestellt werden. Es ist möglich, daß nach kurzer Laufzeit der Maschine ein solches Spiel auftritt, da sich die Lagerschalen setzen.

Dieses Spiel beeinträchtigt die Fahreigenschaften der Maschine und ist deshalb zu beseitigen. Das geschieht wie folgt:

  1. Die Regulierschraube und die Druckkappe des Steuerungsdämpfers werden abgenommen. Dabei ist auf die 4 Tellerfedern zu achten, die unter der Druckkappe liegen.
  2. Die Klemmschraube am Klemmkopf wird mit einem 14 mm-Schlüssel gelockert.
  3. Die Blechsicherung der Befestigungsmutter am Steuerrohr ist aufzubiegen.
  4. Nun wird die Befestigungsmutter so weit nachgezogen, bis kein Spiel mehr vorhanden ist. Der Lenker muß nach links und nach rechts spielend leicht einzuschlagen sein. Irgendein Schleifen oder Knacken darf nicht auftreten.
  5. Nach dieser Einstellung ist die Klemmschraube wieder festzuziehen und die Befestigungsmutter mit der Blechsicherung zu sichern.
  6. Die 4 Tellerfedern werden mit etwas Fett auf dem Steuerkopf festgelegt und die Druckkappe aufgesetzt. Beim Einsetzen der Regulierschraube achtgeben, daß sich die Tellerfedern nicht verschieben.


Bild 77. Lenkerkopf nachstellen

Bild 1. ES 175/2 - ES 250/2 (de Luxe) mit Sitzbank

Bild 1. ES 175/2 - ES 250/2 (de Luxe) mit Sitzbank



5.3.2 Schwingenanordnung

5.3.2.1 Auswechseln der Vorderschwinge

nächster Punkt ; Inhaltsverzeichnis

Benötigte Sonderwerkzeuge:

Dorn 05 MW 26-4

Ausbau:

  1. Das Bremsseil der Vorderradbremse ist abzunehmen und das Vorderrad auszubauen.
  2. Die Sechskantschrauben für die untere Federbeinbefestigung werden herausgeschraubt und die Schwinge etwas nach unten gedrückt. Die beiden Sicherungsscheiben des Lagerbolzens sind zurückzuschrauben.
  3. Mit einem 27 mm-Schlüssel ist die Mutter des Lagerbolzens zu lösen. Am anderen Ende des Lagerbolzens muß gegengehalten werden.
  4. Mit einem Dorn und dem Hammer wird unter Gegenhalten der Lagerbolzen herausgeschlagen und die Schwinggabel abgenommen. Dabei ist besonders auf die Schutzkappen zu achten, welche vor den Lagerbuchsen der Schwinggabel sitzen und beim Herausnehmen des Lagerbolzens frei werden und herunterfallen.


Einbau:

  1. Bevor die Schwinggabel eingesetzt werden kann, müssen vor die Lagerbuchsen (innen) je ein Gummidichtring und eine Schutzkappe gesetzt werden. Die Schwinggabel wird jetzt über den Vorderträger gebracht und so eingesetzt, daß die Bohrungen für den Lagerbolzen übereinstimmen. Jetzt kann der Zentrierdorn 05 MW 26-4 an Stelle des Lagerbolzens eingeschoben werden.
  2. Auf den Lagerbolzen ist nun die Schutzkappe und ein Gummidichtring aufzuschieben. Mit dem Gummihammer setzt man jetzt den Lagerbolzen ein. (In Fahrtrichtung gesehen von rechts nach links!) Der Lagerbolzen wird so eingeführt, daß die abgeflachten Stellen in Richtung der Sicherungsschrauben zeigen. Nachdem der Lagerbolzen sitzt, sind diese Schrauben anzuziehen und mit der Gegenmutter zu sichern.
  3. Auf das andere Ende des Lagerbolzens wird wieder ein Gummidichtring aufgeschoben und dann der Stellring so weit aufgeschraubt und angezogen, daß die Schwinggabel gerade noch leicht zu bewegen ist.
  4. Die Befestigungsmutter des Lagerbolzens muß angezogen, dabei aber der Stellring gegengehalten werden. Ist die Befestigungsmutter angezogen, muß die Leichtgängigkeit der Schwinggabel nochmals überprüft werden.


5.3.2.2 Auswechseln der Hinterschwinge

nächster Punkt ; Inhaltsverzeichnis

Benötigte Sonderwerkzeuge:

Dorn 05 MW 26-4
Profilsteckschlüssel 05 MW 24-4


Der hintere Schwingarm besteht aus Stahlrohr. Im vorderen Teil ist er mit zwei Lagerbuchsen aus Grauguß auf dem Lagerbolzen und im Rahmen gelagert. Die Enden nehmen die Kettenspanner und die Steckachse auf. Ferner sind die Lagerbuchsen für die Lagerung der unteren Federbeinaufnahmen der Federbeine auf dem hinteren Teil des Schwingarmes aufgeschweißt. Am linken Arm des Schwingarmes ist ein Lagerbock zur Befestigung der Zugstrebe des Bremsdeckels angeschweißt.



Ausbau:

  1. Die hinteren Federbeine werden abgenommen (Profilsteckschlüssel 05 MW 24-4).
  2. Bei der ES 250 sind die beiden Verschlußdeckel der Blechverkleidungen abzunehmen.
  3. Jetzt löst man die Flügelmuttern am hinteren Kotflügel und klappt das Kotflügelende nach oben. Die Steckachse, die Zugstrebe zum Bremsdeckel und das Bremsgestänge werden abgenommen und nun kann das Hinterrad seitlich abgedrückt und nach hinten herausgenommen werden.
  4. Dann wird der Lichtmaschinendeckel geöffnet und das Kettenschloß bis zum Antriebsritzel gedreht. Ist das Kettenschloß geöffnet und entfernt, so wird die Kette aus dem Kettenschutzschlauch herausgezogen.
  5. Die Mutter des Flanschbolzens wird abgenommen und der Kettenkasten mit Kettenrad und Dämpfungskörper aus der Schwinggabel herausgezogen. Die Kettenschutzschläuche werden an der Motorseite abgenommen.
  6. Bei der ES 250 werden die Soziusfußrasten abgeschraubt, die linke Verkleidung abgenommen und, nachdem die Kabel an Klemmbrett und Regler, wie unter 5.1.5.2 beschrieben, abgeklemmt worden sind, auch die rechte Verkleidung gelöst.

    Bei der ES 175 sind die Verkleidungsdeckel rechts und links des Fahrersattels nach Lösen der Rändelmuttern abzunehmen.
  7. Im Rücklicht können nun die Kabel abgeklemmt und der Kabelstrang aus den Laschen unter dem Kotflügel herausgezogen werden. Die 4 Befestigungsschrauben des hinteren Kotflügels sind zu lösen und der Kotflügel herauszunehmen.
  8. Nachdem die Befestigungsmutter des Lagerbolzens gelöst wurde, ist der Stellring abzuschrauben. Die zwei Sicherungsschrauben des Lagerbolzens können nun gelöst und einige Gewindegänge zurückgeschraubt werden. Der Lagerbolzen ist mit einem Dorn und Hammer herauszuschlagen. Der Schwingarm läßt sich nun abnehmen.


Einbau:

Beim Einbau verfährt man sinngemäß in umgekehrter Reihenfolge wie beim Ausbau. Besondere Beachtung ist beim Einbau den Gummidichtringen zu schenken, wie unter 5.3.2.1, Punkt l (Einbau) beschrieben.



5.3.3 Federbeine mit hydraulischer Dämpfung

5.3.3.1 Ausbau und Einbau der Federbeine vorn und hinten

nächster Punkt ; Inhaltsverzeichnis

Verwendetes Sonderwerkzeug:

Profilsteckschlüssel 05 MW 24-4

Vordere Federbeine:

  1. Unter Verwendung des Profilsteckschlüssels 05 MW 24-4 werden die Gewindestopfen der oberen Befestigung der Federbeine abgeschraubt. Gleichzeitig sind die verchromten Abdeckkappen abzunehmen.


Bild 80. Lösen des Gewindestopfens mit Profilsteckschlüssel 05 MW 24-4



  1. Mit einem 17er Schlüssel können die unteren Haltebolzen entfernt werden.
  2. Durch Vorziehen ist das Federbein erst unten und durch leichte Schwenkbewegungen oben vom Haltebolzen abzunehmen. (Dabei auf die Gummiringe achten, die zur oberen Lagerung des Federbeines dienen!)
  3. Beim Einbau, der in umgekehrter Reihenfolge vorgenommen wird, ist besonders zu beachten, daß die abgerundeten Seiten der verchromten Abdeckkappen nach vorn zeigen, weil bei falschem Einbau Lackschäden entstehen. Beschädigte Gummiringe zur oberen Federbeinlagerung sind auszutauschen.


Hintere Federbeine:

  1. Gewindestopfen mit dem Profilsteckschlüssel 05 MW 24-4 lösen und entfernen.
  2. Unteren Haltebolzen herausschrauben.
  3. Federbein durch Zurückziehen aus der unteren Lagerung herausnehmen, dann abnehmen.
  4. Einbau in umgekehrter Reihenfolge.


5.3.3.2 Zerlegen eines Federbeines

nächster Punkt ; Inhaltsverzeichnis

Benötigte Sonderwerkzeuge:

Hakenschlüssel 05 MW 28-3
Zapfenschlüssel 05 MW 3-4
Stiftschlüssel f. Kolben 05 MW 4-4


Vor dem Zerlegen des Federbeines ist darauf zu achten, daß die Druckfeder auf "W" (weich) eingestellt ist.



  1. Die obere Federbeinaufnahme wird in den Schraubstock eingespannt. (Leichtmetallbacken verwenden.) Nun ist die Ringmutter mit dem Hakenschlüssel 05 MW 28-3 zu lösen.
  2. Das Federbein muß umgedreht und mit der unteren Federbeinaufnahme in den Schraubstock eingespannt werden. Nachdem die Ringmutter vollständig abgeschraubt wurde, kann die verchromte Abdeckkappe und die Druckfeder nach oben abgezogen werden.
  3. Die zwei Schlitzschrauben sind zu entfernen. Die Hülse wird dann nach oben abgezogen.
  4. Der Gummipuffer, der auf dem Führungsrohr sitzt, wird nach unten geschoben und dadurch zwei Ausfräsungen freigelegt, die es erlauben, einen 22 mm-Maulschlüssel zum Gegenhalten anzusetzen. Mit einem gut passenden Rohr, das durch das Auge der oberen Federbeinaufnahme gesteckt wird, schraubt man diese unter gleichzeitigem Gegenhalten vom Führungsrohr ab.
    Zuerst unten öffnen, dann oben.
  5. Der Gummipuffer kann nun ganz vom Führungsrohr abgezogen und die Haltemutter der Kolbenstange sowie der Stopfen zur Kolbenstange abgenommen werden. (Das im oberen Teil befindliche Stoßdämpferöl wird jetzt abgegossen.)
  6. Mit einem 46 mm-Schlüssel, der am Federungszylinder angesetzt wird, ist die untere Federbeinaufnahme zu lösen. Danach wird die untere Federbeinaufnahme vollständig abgenommen (Öl auffangen). Das Kolbenrohr mit dem Kolben und der Kolbenstange läßt sich nun aus dem Führungsrohr nach unten herausnehmen.


Bild 81. Abschrauben der Ringmutter mit dem Hakenschlüssel 05 MW 28-3

Bild 82. Federbein zerlegen

Bild 83. Entfernen des Kolbens mit dem Stiftschlüssel 05 MW 4-4

Bild 84. Verstellmöglichkeit der Federhärte



  1. Um den UG-Dichtring, der das Führungsrohr im Federungszylinder abdichtet, herausnehmen zu können, muß der Gewindestopfen mit dem Zapfenschlüssel 05 MW 3-4 herausgeschraubt werden. Danach ist es möglich, den Dichtring zusammen mit dem Stützring zu entnehmen. Die obere Führungsbuchse wird dann von unten her aus dem Federungszylinder herausgedrückt.


Bild 85. Federbein zerlegt



  1. Soll der Kolben von der Kolbenstange entfernt werden, so ist der Stiftschlüssel 05 MW 4-4 zu verwenden.


5.3.3.3 Zusammenbau und Füllen eines Federbeines

nächster Punkt ; Inhaltsverzeichnis

Benötigte Sonderwerkzeuge:

Hakenschlüssel 05 MW 28-3
Zapfenschlüssel 05 MW 3-4
Spezialwerkzeug f. Dichtring 05 MW 2-3
Dorn 05 MW 1-4
Stiftschlüssel 05 MW 4-4


Bild 86. Einsetzen der oberen Führungsbuchse mit dem Dorn 05 MW 1-4

Bild 87. Einsetzen des UG-Dichtringes mit dem Sonderwerkzeug 05 MW 2-3



Beim Zusammenbau ist besonders darauf zu achten, daß die Verschleißteile in einem einwandfreien Zustand sind. Wichtig ist beim Zusammenbau eine gute Abdichtung. Es wird aus diesem Grunde empfohlen, keine alten bzw. gebrauchten Dichtungen zu verwenden.



  1. In den Federungszylinder wird die obere Führungsbuchse eingesetzt. Dazu ist der Dorn 05 MW 1-4 zu verwenden.
  2. Der UG-Dichtring, zusammen mit dem Stützring, kann nun unter Verwendung des Spezialwerkzeuges 05 MW 2-3 in den Federungszylinder eingedrückt werden. Der Gewindestopfen wird mit dem Zapfenschlüssel 05 MW 3-4 eingeschraubt und festgezogen.
  3. Das Führungsrohr muß ohne die untere Führungsbuchse in den Federungszylinder eingeschoben werden und mit dem Gummipuffer gegen Durchrutschen gesichert sein. Die untere Führungsbuchse ist auf das Führungsrohr aufzuschieben und mit dem Sprengring zu sichern.
    Das Führungsrohr muß im Federungszylinder leicht und ohne Klemmerscheinungen gleiten. Sollte ein Spiel der Führungsbuchsen festzustellen sein, dann ist erforderlich die Buchsen auszutauschen.
  4. Das Kolbenrohr kann nun mit dem Dichtring und mit dem Kolben in den Federungszylinder eingesetzt werden. Die Kolbenstange ist durchzuschieben, bis sie durch das Führungsrohr ragt. Auf die Kolbenstange ist der Stopfen aufzuschieben und mit einer 6 mm-Mutter zu verschrauben. Zwischen Stopfen und Führungsrohr ist eine Leichtmetalldichtung mit Asbestfüllung einzulegen.
  5. Die obere Federbeinaufnahme kann jetzt aufgeschraubt werden. Dazu muß ein passendes Rohr Verwendung finden, und mit einem 22 mm-Maulschlüssel ist gegenzuhalten.
  6. Das Federbein muß mit 80 ccm Stoßdämpferöl gefüllt sein. Die Füllung wird auf der noch offenen Seite vorgenommen, d. h. nach und nach läßt man das Stoßdämpferöl in das Kolbenrohr einlaufen, wobei der Stoßdämpfer ganz auseinandergezogen wird.
  7. Nach dem Füllen verschließt man das Federbein mit der unteren Federbeinaufnahme. Hierzu muß die Papierdichtung ersetzt werden.
  8. Zum Schluß wird die untere Schutzhülse aufgesteckt und verschraubt, die Druckfeder eingesetzt und die obere Schutzkappe mit der Ringmutter festgezogen. Dazu wird der Hakenschlüssel 05 MW 28-3 verwendet.


5.3.3.4 Nachfüllen eines Federbeins

nächster Punkt ; Inhaltsverzeichnis

Benötigte Sonderwerkzeuge:

Hakenschlüssel 05 MW 28-3
Profilsteckschlüssel 05 MV 24-4


Sollte sich eine Stoßdämpferfüllung eines Federbeins erforderlich machen, dann ist es nicht nötig das Federbein zu zerlegen. Eine Neufüllung wird folgendermaßen vorgenommen:



  1. Federbein ausbauen (siehe 5.3.3.1).
  2. Mit dem Hakenschlüssel die Ringmutter abschrauben, obere Schutzhülse und Druckfeder abnehmen.
  3. Untere Federbeinaufnahme abschrauben und das restliche Stoßdämpferöl abfließen lassen.


Füllen:
  1. 80 ccm Stoßdämpferöl wird in das umgedrehte Federbein eingefüllt, wie es unter 5.3.3.3 beschrieben ist.
  2. Unter Verwendung einer neuen Papierdichtung ist die untere Federbeinaufnahme wieder aufzuschrauben und das Federbein zu verschließen.
  3. Nachdem die Druckfeder und die obere Schutzhülle mit der Ringmutter festgezogen sind, ist das Federbein wieder einbaufertig.


5.3.4 Räder. Aus- und Einbau, Speichenwechsel, Kugellagerwechsel

5.3.4.1 Ausbau und Einbau des Vorderrades

nächster Punkt ; Inhaltsverzeichnis

  1. Kraftrad aufbocken.
  2. Widerlagerschraube und Mutter des Handbremsseiles so drehen, daß sich die Schlitze decken, d. h. daß ein einziger Schlitz entsteht, durch welchen man das Handbremsseil durchführen kann. Handbremse leicht anziehen, Seilhülle festhalten und beim Loslassen der Handbremse die Seilhülle nach oben und seitlich herausziehen. Dadurch wird das Bremsseil aus dem Widerlager gehoben, und nun ist der Nippel aus dem Bremshebel auszuhängen.


Bild 88. Ausbau des Vorderrades



  1. Mit dem 22er Maulschlüssel wird die Achsmutter abgeschraubt. Die Steckachse ist nun nach links herauszuziehen.
  2. Das Vorderrad kann vollständig aus der vorderen Schwinggabel herausgezogen werden.
    Beim Einbau in umgekehrter Reihenfolge ist besonders darauf zu achten, daß der Bremsdeckel in die vorgesehene Führung eingesetzt wird, damit ein einwandfreier Sitz des Vorderrades und eine richtige Spurhaltung erreicht wird.


5.3.4.2 Aus- und Einbau des Hinterrades

nächster Punkt ; Inhaltsverzeichnis

  1. Kraftrad aufbocken.
  2. Bremslichtkabel, das unter der Gummikappe, nahe dem Bremshebel am Hinterrad befestigt ist, abschrauben.


Bild 89. Bremsdeckel und Zugstrebe

Bild 90. Hinterradausbau



  1. Flügelmutter vom Bremsgestänge lösen.
  2. Halteschraube der Zugstrebe zum Bremsdeckel abschrauben.
  3. Steckachse mit 22er Schlüssel lösen und nach links herausziehen. Dabei auf das Distanzstück achten, welches zwischen Nabe und Schwinggabel sitzt.
  4. Nach Losdrehen der Flügelmuttern rechts und links am Kotflügel, wird das Kotflügelende hochgeklappt.
  5. Das Rad ist nach links mit den drei Mitnehmerbolzen, aus dem Dämpfungskörper herauszuziehen. Danach kann das Rad nach hinten aus der hinteren Schwinggabel herausgezogen werden.
  6. Beim Einbau wird das Hinterrad mit den Mitnehmerbolzen nach rechts zeigend in die hintere Schwinggabel eingeführt und dann mit den Mitnehmerbolzen in den Dämpfungskörper eingesetzt.
  7. Nachdem das Distanzstück eingesetzt ist muß die Steckachse eingeschoben und leicht angezogen werden.
  8. Nase des Bremsdeckels mit der Zugstrebe verschrauben.
  9. Flügelmutter auf die Bremsstange aufschrauben und das Kabel des Bremslichtschalters anschließen.
  10. Vor dem Festziehen der Steckachse ist der Kettendurchhang zu prüfen und gleichzeitig auf richtige Spurhaltung des Hinterrades zu achten (Anlegen einer Latte). Danach wird die Achse festgezogen.
  11. Kettenspanner mit Gegenmutter sichern.
  12. Kotflügelende herunterklappen und mit den beiden Flügelmuttern befestigen.


5.3.4.3 Kugellagerwechsel im Vorder- und Hinterrad

nächster Punkt ; Index

Vorder- und Hinterrad der ES-Typen sind mit je 2 Ringrillenlagern 6302 gelagert. Um die Lager aus den Naben zu entfernen, geht man folgendermaßen vor:



  1. Vorder- bzw. Hinterrad ausbauen (5.3.4.1 und 5.3.4.2).
  2. Die Abdeckkappen auf beiden Seiten des Radkörpers werden mit einem Schraubenzieher abgehoben.
  3. Dichtringe entfernen.
  4. Ein Lager wird mit Hilfe eines Domes nach außen aus dem Radkörper herausgeschlagen. Nach Entnahme der Abstandshülse das zweite Lager.
  5. Beim Zusammenbau wird erst ein Lager in den Radkörper eingesetzt. Danach die Abstandshülse und das zweite Lager einsetzen (Lager vor dem Einsetzen gut einfetten).
    Zum Eindrücken der Lager verwendet man eine Spindelpresse mit gut passender Gegenlage.
  6. Die Dichtringe werden zusammen mit den Abdeckkappen eingesetzt und festgedrückt.
  7. Nach erfolgtem Lagereinbau werden die Räder wieder eingebaut.


5.3.4.4 Speichenwechsel

nächster Punkt ; Inhaltsverzeichnis

Bei den ES-Modellen werden Geradwegspeichen eingebaut. Jedes Rad hat 36 Speichen. Das Auswechseln von Speichen ist sehr einfach. Um ein Verdrehen der einzelnen Speichen beim Anziehen zu verhindern, ist für je 2 Speichen eine Speichenaufnahme vorgesehen, welche von innen in den Radkörper eingesetzt ist und die gleichzeitig Sicherung gegen das Verdrehen ist.


Auswechseln von Speichen
  1. Das jeweilige Rad wird ausgebaut und der Bremsdeckel sowie der Radkörper abgelegt. Reifen, Schlauch und Felgenband sind abzunehmen.
  2. Die zerbrochene Speiche wird nach dem Inneren des Radkörpers herausgezogen. Die neue Speiche wird durch die Speichenaufnahme und durch den Radkörper gesteckt. Die Speiche muß so weit in die Speichenaufnahme eingeführt werden, daß der Kopf anliegt. Damit ist die Speiche gegen Verdrehung gesichert.
  3. Ist die Speiche eingesetzt und der Nippel aufgeschraubt, wird das Rad nachzentriert.
  4. Nach der Montage der Bereifung ist das Rad wieder einbaufertig.


Bild 91. Speichenaufnahme



5.3.4.5 Reifenmontage

nächster Punkt ; Inhaltsverzeichnis

a) Abmontieren

  1. Rad ausbauen und flach auf den Boden legen. Dabei ist es vorteilhaft, einen Lappen unterzulegen, damit kein Schmutz in die Kugellager gelangen kann.
  2. Ventileinsatz herausschrauben und die Luft vollständig aus dem Schlauch ablassen.
  3. Ventilmutter abschrauben.
  4. Gegenüber dem Ventil wird nun die Decke mit den Füßen heruntergetreten und auf diese Weise die Decke in das Tiefbett gedrückt.
  5. Mit Hilfe von zwei Montierhebeln kann nun die Decke am Ventil über den Felgenrand gehoben werden.
  6. Gleichmäßig mit den Montierhebeln weiterfassend, ist nun die Decke Stück für Stück über den Felgenrand zu heben.
  7. Ist die eine Seite der Decke vollständig abgehoben, so wird das Ventil durch die Felge durchgeschoben und der Schlauch aus der Decke herausgenommen.
    Bei all diesen Arbeitsgängen ist besonders darauf zu achten, daß der Versuch unterbleibt, die Decke mit Gewalt zu montieren, weil sonst die Gefahr besteht, daß das eingelegte Stahldrahtseil der Decke beschädigt, bzw. zerrissen wird. Sollte sich die Decke nicht leicht über den Felgenrand ziehen lassen, muß untersucht werden, ob die Gegenseite gut in das Tiefbett der Felge eingedrückt worden ist.


b) Aufmontieren

  1. Bevor die Decke aufmontiert werden kann, muß untersucht werden.. ob sich noch Sand oder Fremdkörper in der Decke befinden (z. B. Nägel oder Splitter, die vorher den Reifenschaden verursacht haben). Um diese Fremdkörper zu finden, ist es zweckmäßig, die Decke innen mit der Hand sorgfältig abzutasten.
  2. Bevor der schwach aufgepumpte Schlauch in die Decke eingelegt wird, muß etwas eingestreutes Talkum in der Decke verteilt werden. Das Ventil wird durch die Felgenbohrung gesteckt und durch die Ventilmutter, die einige Gänge aufgeschraubt wird, gesichert.
  3. Die Montage beginnt gegenüber vom Ventil. Die erste Hälfte ist mit den Händen über den Felgenrand zu drücken und erst dann wird mit den Montierhebeln weitergearbeitet.
  4. Mit den Hebeln ist der Rest der Decke stückweise über den Felgenrand zu heben, wobei beachtet werden muß, daß die Gegenseite gut in das Tiefbett eingedrückt wird. Es besteht die Gefahr, daß der Schlauch eingeklemmt werden kann. Hier ist besondere Vorsicht geboten.
  5. Nachdem etwa ein Viertel des erforderlichen Luftdrucks aufgepumpt ist, laßt man das Rad unter ständigem Drehen auf den Boden aufspringen, bis die Reifenkennlinie ringsum den gleichen Abstand vom Felgenrand hat. Dieser gleichmäßige Abstand verdient besondere Beachtung, weil sonst Flattererscheinungen während des Fahrens auftreten.
  6. Vorgeschriebenen Luftdruck aufpumpen.


Luftdrücke ES 250 ES 175  
vorn
hinten
vorn
hinten
1,4 atü
1,6 atü
1,4 atü
2,0 atü
1,4 atü
1,6 atü
1,4 atü
2,0 atü
Solobetrieb

Soziusbetrieb
vorn
hinten
Beiwagen
1,4 atü
1,8 atü
1,4 atü
1,4 atü
1,8 atü
1,4 atü
mit Fahrer und Beiwagenpassagier
vorn
hinten
Beiwagen
1,4 atü
2,6 atü
1,4 atü
1,4 atü
2,6 atü
1,4 atü
mit Fahrer, Soziusfahrer und Beiwagenpassagier


Bild 92. Reifenmontage



5.3.5 Bremsen. Überholung und Einstellung

5.3.5.1 Bremsbackenwechsel

nächster Punkt ; Inhaltsverzeichnis

Die ES ist mit Leichtmetallbremsbacken ausgerüstet. Der Original 'Cosid'-Bremsbelag ist nach einem besonderen Verfahren auf die Bremsbacken aufgepreßt. Dadurch wird eine maximale Ausnutzung der vorhandenen Bremsnutzfläche der Bremsbacken erreicht. Die Breite des Belages beträgt 30 mm.



  1. Zum Austausch der Bremsbacken müssen die Räder ausgebaut werden.
  2. Dem ausgebauten Rad entnimmt man den Bremsdeckel, hängt auf einer Seite die Rückholfedern der Bremsbacken aus und kann dann die Bremsbacken abnehmen.
  3. Da ein Belegen der abgenutzten Bremsbacken nicht selbst vorgenommen werden kann, werden abgenutzte Bremsbacken durch Austauschbremsbacken ersetzt. Vor Montagebeginn schmiert man den Bremsschlüssel mit der Fettpresse ab und überzeugt sich, ob das Schmiermittel tatsächlich durchgedrückt wird. Ist das nicht der Fall, dann muß der Bremsschlüssel ausgebaut und der Fehler abgestellt werden. Oft wird eine gründliche Reinigung bereits zum Erfolg führen. Der dem Bremsschlüssel gegenüberliegende Drehbolzen ist leicht einzufetten. Der Bremsbelag selbst darf unter keinen Umständen mit Fett oder Öl in Berührung kommen, weil sonst nicht die vorgeschriebenen Verzögerungswerte beim Bremsen erreicht werden (Vorsicht mit öligen Händen).


Bild 93. Montage der Bremsbacken



  1. Die neuen Bremsbacken sind jetzt mit beiden Rückholfedern zu verbinden und ein Backen an Bremsschlüssel und Drehbolzen anzulegen. Der andere Bremsbacken wird schräg angesetzt und heruntergedrückt (siehe Bild).
  2. Die Fertigmontage ist aus den Punkten l und 2 zu ersehen. Nach dem Einbau des Rades muß unter Umständen eine Neueinstellung der Bremsen vorgenommen werden, evtl. auch eine Nachstellung des Bremslichtschalters.


5.3.5.2 Einstellung der Bremsen

nächster Punkt ; Inhaltsverzeichnis

Die Bremsen, die man als das Gewissen eines Fahrzeuges bezeichnet, sind ein Hauptfaktor für die Sicherheit des Fahrers. Bei den hohen Geschwindigkeiten, die der Motor zuläßt, ist es unerläßlich, die Einstellung der Bremsen mit größter Sorgfalt vorzunehmen. Eine weitere Voraussetzung für die sichere und leichte Bedienung der Bremsen ist die Einstellung der Bedienungshebel, die für jede Personengröße verschieden ist. Jeder Fahrer muß sich die Hebel so einstellen, daß er jederzeit ohne Anstrengung die Bedienungshebel erreichen und betätigen kann.



Bild 94. Fußbremshebel

Bild 95. Bremshebelanschlagschraube

Bild 96. Hinterradbremse nachstellen



Fußbremse

Der Fußbremshebel kann mit Hilfe der Bremshebel-Anschlagschraube nach oben oder unten verstellt werden. Der Hebel soll so eingestellt sein, daß nur eine kleine Fußbewegung nach links und nach unten genügt, um die Bremse wirksam werden zu lassen. Ein vorheriges Anheben des Beines, um den Hebel zu erreichen, führt schon zu Verzögerungen, die in kritischen Situationen gefährlich werden können. Beim Bremsen muß der Fuß auf der Fußraste verbleiben.

Die weitere Einstellung des Hebelspiels der Fußbremse wird an der dafür vorgesehenen Flügelmutter am Hinterrad vorgenommen, und zwar so weit, daß das Rad frei durchgedreht werden kann. Am Fußhebel soll die Bremswirkung nach 25 ... 30 mm Hebelweg spürbar sein.

Ist die Fußbremse eingestellt, so ist zu prüfen, ob der Bremslichtschalter ordnungsgemäß arbeitet. Unter Umständen muß auch hier eine Nachregulierung vorgenommen werden, wie es unter 5.3.5.3beschrieben ist.



Handbremse

Die Nachstellung der Handbremse wird am Gegenhalter des Vorderrades an der Nachstellschraube des Bowdenzuges vorgenommen. Nach der Einstellung mit einem 10 mm-Gabelschlüssel ist die Nachstellschraube mit der Rändelmutter zu sichern.

Am Handhebel soll nach etwa 20 ... 25 mm Hebelweg die Bremse wirksam sein.

Sollten im Laufe des Fahrbetriebes die Nachstellschraube und die Flügelmutter so weit nachgestellt sein, daß das Ende des Gewindes erreicht ist, dann bedeutet das nicht, daß neue Bremsbacken erforderlich sind, sondern es besteht noch eine weitere Möglichkeit, die Bremsen nachzustellen.



Bild 97. Vorderradbremse nachstellen

Bild 98. Versetzen des Bremshebels



Man löst die Mutter des Bremshebels an dem betreffenden Rad und versetzt den Hebel um einen Zahn nach links. Damit ist eine weitere Nachstellmöglichkeit gegeben.



5.3.5.3 Bremslichtschalter (Ausbau und Einstellung)

nächster Punkt ; Inhaltsverzeichnis

Der Bremslichtschalter der ES-Modelle besteht aus einer Kontaktfeder, die mit 2 Halbrundkerbnägeln auf dem Bremsschlüssel befestigt ist und aus einer Kontaktschraube, die mit einer Isolierbuchse, einer Isolierscheibe und Sechskantmutter in den Bremsdeckel eingesetzt ist.

Durch Betätigung der Fußbremse wird eine Verbindung zwischen Kontaktfeder und Kontaktschraube hergestellt und so der Stromkreis des Bremslichtes geschlossen.

Da sich der Abstand zwischen Kontaktschraube und Kontaktfeder beim Nachstellen der Fußbremse verändert, ist auch eine Nachstellmöglichkeit der Kontaktschraube des Bremslichtschalters vorgesehen.



Ausbau
  1. Das Hinterrad wird, wie unter 5.3.4.2 beschrieben, ausgebaut.
  2. Der Bremsdeckel wird aus der Nabe herausgenommen. Der Ausbau der Bremslichtkontaktschraube kann nun vorgenommen werden.
  3. Die Mutter der Kontaktschraube ist zu lösen, ebenso die Isolierscheibe. Mit der Isolierbuchse kann nun der Kontaktbolzen nach der Bremsbackenseite des Bremsdeckels herausgeschoben werden.


Bild 99. Einstellen des Bremslichtschalters



Einstellen des Bremslichtschalters
  1. Das Kabel des Bremslichtschalters wird abgenommen und die darunter liegende Mutter gelockert.
  2. Am einfachsten läßt sich die Einstellung vornehmen, wenn eine zweite Person die Fußbremse betätigt.
    Mit einem kleinen Schraubenzieher ist die geschlitzte .Kontaktschraube nach rechts oder nach links zu drehen, bis das Bremslicht einwandfrei anspricht. Das Kabel muß dazu provisorisch mit der Kontaktschraube verbunden werden. Die Zündung muß eingeschaltet sein.
  3. Ist die richtige Stellung gefunden, dann wird die Gegenmutter festgezogen. Es ist zu beachten, daß die Isolierscheibe aus einem Material besteht, das bei zu starken Anziehen der Mutter platzt.
  4. Jetzt wird das Kabel mit einer zweiten Mutter angeschraubt und mit der Gummikappe gegen Schmutz geschützt.


5.3.6 Hinterradnabe

5.3.6.1 Zerlegen des Hinterradantriebes und Auswechseln des Dämpfungskörpers

nächster Punkt ; Inhaltsverzeichnis

  1. Hinterrad ausbauen
  2. Rechtes Federbein abnehmen.
  3. Rechte Soziusfußraste abschrauben.
  4. Der Regler wird abgebaut, nachdem die 3 Halteschrauben des Reglers gelöst worden sind. Das Plus- und das Minuskabel der Batterie ist am Klemmbrett zu lösen.
    (Die Arbeitsgänge 2, 3 und 4 entfallen bei dem Typ ES 175, weil dort die Verkleidung des Hinterrades geändert wurde.


Bild 100. Abnahme der Verkleidung



  1. Jetzt muß das rechte Verkleidungsblech des Hinterrades abgenommen werden. Bei ES 175 wird nur der Verkleidungsdeckel, der mit 2 Rändelschrauben gehalten ist, entfernt.
  2. Um die Kette abnehmen zu können, ist es erforderlich, den Abschlußdeckel des Motors (Lichtmaschinenseite) zu entfernen. Nun wird das Hinterrad so lange gedreht, bis das Kettenschloß sichtbar ist. Das Kettenschloß ist zu öffnen, herauszuziehen und die Kette abzunehmen.
  3. Die Mutter des Flanschbolzens muß gelöst und der Kettenkasten herausgenommen werden. Die Kettenschutzschläuche lassen sich nun leicht abziehen.
  4. Ist der Kettenkasten, der mit 3 Schrauben zusammengehalten wird, auseinandergenommen, dann wird der Dämpfungskörper, der ebenfalls mit 3 Schrauben am Zahnkranz verschraubt ist, abgenommen.
  5. Nun nimmt man den Dämpfungsgummi von den 3 Mitnehmerbolzen des Zahnkranzes ab. Vor Beginn der Montage des Hinterradantriebes prüft man die Teile auf Verschleiß. Ganz besonders sind die Zähne des Zahnkranzes zu untersuchen. Sollten die Zähne an den Spitzen abgenutzt sein, so muß der Zahnkranz gewechselt werden. Ist der Dämpfungsgummi geweitet, so hat der Austausch zu erfolgen.
  6. Beim Zusammenbau wird der Dämpfungsgummi auf die 3 Mitnehmer des Zahnkranzes gesteckt und der Dämpfungskörper darüber gesetzt. Dann verschraubt man den Dämpfungskörper mit 4 Paßschrauben und sichert mit den Sicherungsblechen ab.
  7. Die zwei Kettenabdeckungshälften werden zusammengefügt und verschraubt. Es ist günstig, die Kette bereits jetzt in den Kettenkasten einzuziehen, denn das erleichtert die weitere Montage.
  8. Der Kettenkasten wird nun in. die Schwinge eingesetzt und mit der Mutter des Flanschbolzens befestigt. (Darauf achten, daß der Kettenspanner mit eingesetzt wird.)
    Die Kette ist mit einem Drahthaken durch beide Kettenschutzschläuche zu ziehen und mit dem Kettenschloß zu verbinden.
  9. Nun wird die rechte Seite der Hinterradverkleidung wieder angesetzt und die Soziusfußraste befestigt (Regler anklemmen). Ebenso wird jetzt das Federbein wieder angeschraubt (bei ES 175 entfällt das Anklemmen des Reglers und die Befestigung der Soziusfußraste, man befestigt lediglich den rechten Verkleidungsdeckel wieder).
  10. Nun wird das Hinterrad eingesetzt, die Kette gespannt, dabei die Räder eingespurt, das hintere Ende des Kotflügels verschraubt und der Abschlußdeckel am Motor montiert.


5.3.6.2 Ausbau des Kugellagers Nr. 6005 (Hinterachsantrieb)

nächster Punkt ; Inhaltsverzeichnis

Das Kugellager Nr. 6005 sitzt im Dämpfungskörper des Hinterradantriebes und dient zur Lagerung des Flanschbolzens im Dämpfungskörper. Der Ausbau dieses Lagers wird wie folgt vorgenommen:

  1. Die Schrauben des Lichtmaschinendeckels sind zu lösen und der Deckel abzunehmen.
  2. Bei ES 250 ist das rechte hintere Federbein und die Blechverkleidung der rechten Seite zu demontieren.
    Bei ES 175 wird nur die Blechabdeckung auf der rechten Seite abgenommen. Das Federbein braucht nicht entfernt zu werden.
  3. Das Kettenschloß wird geöffnet und die Kette abgenommen.
  4. Wie unter 5.3.4.2 beschrieben worden ist, kann jetzt das Hinterrad ausgebaut werden.


Bild 101. Entfernen des Sprengringes im Dämpfungskörper



  1. Die Kettenschutzschläuche sind abzuziehen. Die Haltemutter des Flanschbolzens wird abgeschraubt und der gesamte Antrieb herausgenommen.
  2. Der Sprengring, der im Dämpfungskörper das Kugellager sichert, ist mit einer Zange zu entfernen. Mit dem Gummihammer muß der Flanschbolzen zurückgeschlagen und mit einem Dorn völlig herausgeschlagen werden. Nun ist mit einem Dorn das Lager aus dem Dämpfungskörper zu pressen oder durch Schlag zu entfernen.


5.3.7 Kette und Kettenschutzschläuche

5.3.7.1 Auswechseln der Kette

nächster Punkt ; Inhaltsverzeichnis

Für ES 175 und 250 findet eine Rollenkette mit folgenden Abmessungen Verwendung: 1/2" x 7,7 x 8,5 Dmr., 118 Glieder.

Zum Austausch der Kette ist bei der ES 250 das rechte Federbein und die Blechverkleidung der rechten Seite abzunehmen, während bei der ES 175 nur die rechte Verkleidungskappe entfernt wird.

Das Auswechseln wird wie folgt vorgenommen:



  1. Rechtes hinteres Federbein und Seitenverkleidung abnehmen.
  2. Lichtmaschinendeckel vom Motor lösen.
  3. Hinterrad drehen, bis das Kettenschloß sichtbar wird.
  4. Kettenschloß öffnen.
  5. Kette nach vorn herausziehen.
  6. Kettenschutzschläuche abziehen.
  7. Die neue Kette wird auf den hinteren Zahnkranz aufgelegt und durch Drehen des Hinterrades aufgerollt.


Bild 102. Kettenverschluß



  1. Die Kettenenden sind durch die Kettenschutzschläuche mit einem Drahthaken durchzuziehen. Die Enden können nun mit dem Kettenschloß verbunden und die Kettenschutzschläuche auf das Gehäuse und auf den Kettenkasten aufgesteckt werden. Beim Einbau der Sicherungsfeder ist darauf zu achten, daß das geschlossene Ende der Feder in Drehrichtung zeigt.
  2. Der Lichtmaschinendeckel ist wieder anzuschrauben.
  3. Bevor die Verkleidung der ES 250 angebracht wird ist es erforderlich, die Kette vorschriftsmäßig zu spannen (Durchhang nach oben und unten 10 mm).
  4. Die Verkleidung und das Federbein kann nun angebracht und verschraubt werden.


5.3.7.2 Auswechseln der Kettenschutzschläuche

nächster Punkt ; Inhaltsverzeichnis

  1. Rechtes Federbein und die rechte Verkleidung lösen. (Bei ES 175 wird nur das rechte Verkleidungsblech entfernt, das Federbein wird nicht abgenommen.)
  2. Nach Abnahme des Lichtmaschinendeckels vom Motor wird das Hinterrad gedreht, bis das Kettenschloß sichtbar wird. Kettenschloß öffnen und entfernen.
  3. Kettenschutzschläuche zuerst vom Gehäuse, dann vom Kettenkasten abziehen. Dabei beachten, daß die Kette im Kettenkasten bleibt (Hinterrad nicht drehen).
  4. Mit Hilfe eines Drahthakens wird die Kette in die neuen Kettenschutzschläuche eingezogen (vorheriges Einfetten der Kette nicht vergessen).


Bild 103. Einziehen der Kette mit Drahthaken



  1. Nachdem die Kette mit dem Kettenschloß wieder verbunden ist, werden die Enden der Kettenschutzschläuche mit einem Schraubenzieher am Kettenkasten und am Gehäuse aufgezogen.
  2. Vor dem Anbau des Lichtmaschinendeckels kontrollieren, ob das geschlossene Ende der Kettenschloßfeder in Fahrtrichtung zeigt.
  3. Nun sind Verkleidungsblech und Federbein (bei ES 175 nur die Blechverkleidung) wieder anzuschrauben.


5.3.7.3 Spannen der Kette

nächster Punkt ; Inhaltsverzeichnis

  1. Die Steckachse und die Mutter des Flanschbolzens sind mit dem Maulschlüssel zu lösen.
  2. An den Stellmuttern der Kettenspanner wird die Kette auf beiden Seiten gleichmäßig nachgestellt, bis sich ein Kettendurchhang von 10 mm nach oben und unten ergibt.
  3. Ist die Kettenspannung erreicht, muß die Spur des Vorder- und Hinterrades kontrolliert werden (ungenau spurende Räder verschlechtern die Straßenlage der Maschine und bedeuten Unfallgefahr). Man verwendet zu diesem Zweck eine Meßlatte, die an Vorder- und Hinterrad gleichmäßig anliegen muß. Sollte das nicht der Fall sein, so muß mit Hilfe der Kettenspanner der Gleichlauf hergestellt werden.
  4. Die Mutter des Flanschbolzens und die Steckachse werden festgezogen und die Muttern der Kettenspanner mit. den Gegenmuttern gesichert. Nach dem Festziehen nochmals Kettendurchhang und Spur überprüfen.


Bild 104. Nachstellen der Kette

Bild 105. Prüfen des Kettendurchhanges



5.3.8 Kraftstoffhahn und Kraftstoffbehälter

5.3.8.1 Ausbau und Zerlegen des Kraftstoffhahnes

nächster Punkt ; Inhaltsverzeichnis

  1. Kraftstoffbehälter entleeren.
  2. Anschlußstück für den Kraftstoff schlauch mit 14er Schlüssel abschrauben.


Bild 106. Kraftstoffhahn, zerlegt



  1. Anschlußmutter des Kraftstoffhahnes mit 19er Gabelschlüssel lösen (Linksdrehung) und den Kraftstoffhahn aus dem Kraftstoffbehälter herausschrauben.
  2. Wassersack abschrauben.
  3. Filtereinsatz abnehmen.
  4. Das Sieb auf dem Reserveröhrchen kann nach oben abgezogen werden.
  5. Zur Erneuerung des inneren Dichtringes ist die Ringmutter abzunehmen, der Drehgriff des Kraftstoffhahnes zu entfernen und die Dichtungsscheibe (Buna) auszutauschen.
    Vor dem Zusammenbau sind beschädigte Dichtungen auszutauschen.


5.3.8.2 Ausbau des Kraftstoffbehälters

nächster Punkt ; Inhaltsverzeichnis

  1. Kraftstoffbehälter entleeren.
  2. Fahrersattel öffnen und nach Lösen der 4 Sechskantschrauben 8 x 20 abnehmen.
  3. Vordere und hintere Kraftstoffbehälter-Halteschrauben lösen und herausziehen.
  4. Kraftstoffschlauch vom Kraftstoffhahn abziehen.
  5. Verbindungsschlauch beider Tankhälften abziehen und abnehmen.
  6. Kraftstoffbehälter hinten etwas anheben und nach hinten abnehmen.
    Beim Einbau des Kraftstoffbehälters ist darauf zu achten, daß der unter den Tank geklebte Auflagegummi nicht verrutscht.


Bild 107. Abnehmen des Kraftstoffbehälters



5.3.9 Kippständer und Fußrasten

5.3.9.1 Auswechseln des Kippständers

nächster Punkt ; Inhaltsverzeichnis

Benötigte Sonderwerkzeuge:

Sonderwerkzeug zum Vorspannen der Feder 05 MW 21-2



  1. Nach Lösen der Befestigungsmuttern sind die Fußrasten abzunehmen.
  2. Um die Kippfederung ungehindert abnehmen zu können, ist das Sonderwerkzeug 05 MW 21-2 zu verwenden.


Bild 108. Das angesetzte Sonderwerkzeug 05 MW 21-2 zum Aus- und Einbau der Kippfederung



  1. Die Bolzen der Kippfederung sind zu entsplinten und die Bolzen mit einem Dorn herauszuschlagen.
  2. Nun werden die Kerbstifte der Fußrastenrohre herausgeschlagen.
  3. Die Fußrastenrohre können herausgezogen und der Ständer abgenommen werden.
  4. Vor dem Einbau des Ständers ist darauf zu achten, daß sich die Bohrungen der Fußrastenrohre und die Bohrungen des Führungsrohres genau decken, denn nur so können die Kerbstifte leicht eingeschlagen werden. Vor dem Einsetzen sind die Fußrastenrohre leicht einzufetten.
  5. Kerbstifte einschlagen.
  6. Bevor die Kippfederung angebaut wird, ist es notwendig, wieder unter Verwendung des Sonderwerkzeuges die Feder vorzuspannen.
  7. Die Bolzen werden eingesetzt und versplintet.
  8. Die Fußrasten sind anzubringen und festzuziehen.


5.3.10 Elektrische Anlage

5.3.10.1 Einstellung von Reflektor und Scheinwerfer

nächster Punkt ; Inhaltsverzeichnis

Die ES-Typen besitzen fest eingebaute Scheinwerfer.

Eine Korrektur der Einstellung ist trotzdem in gewissen Grenzen möglich. Ist die Reflektorverstellmöglichkeit erschöpft, so kann von den unter a, b und c nachfolgend erläuterten Richtmöglichkeiten Gebrauch gemacht werden.



Bild 109. Verstellhebel für Reflektor



a) Lichtbündel zu tief

Der Reflektor wird nach Lösen der Klemmschraube (rechts unten am Scheinwerfergehäuse) abgenommen. Die am Reflektor angenietete Blechnase, die an der Kurvenscheibe zur Reflektoreinstellung anliegt, wird etwas nach hinten nachgerichtet. Dadurch bekommt der Reflektor eine stärkere Neigung nach oben, und das Lichtbündel erleuchtet die, Fahrbahn auf weitere Entfernung.



b) Lichtbündel zu hoch

Man verfährt in diesem Falle genau wie unter Punkt a), jedoch wird die Blechnase etwas nach vorn gebogen und damit eine stärkere Senkung des Reflektors und damit des Lichtbündels erreicht.



c) Lichtbündel seitlich der Fahrbahn

Scheint das Lichtbündel des Scheinwerfers nach rechts oder links, dann kann eine Korrektur des Reflektors nichts verändern. In diesem Falle hilft lediglich ein Richten der Haltebügel im Inneren des Scheinwerfers mit einem Richteisen. Zu diesem Zweck müssen die beiden Halteschrauben des Scheinwerfergehäuses gelockert werden. Das Richten der Haltebügel darf nur in geringen Grenzen vorgenommen werden, weil sonst eine saubere Anlage des Scheinwerfergehäuses am Kraftstoffbehälter nicht mehr gewährleistet ist.



d) Einstellung des Reflektors

Wird die ES mit Sozius gefahren, dann hebt sich der Lichtkegel durch die Mehrbelastung. Um entgegenkommende Fahrzeuge nicht zu blenden, ist eine Verstellmöglichkeit vorgesehen, d. h. der Reflektoreinsatz läßt sich nach unten schwenken. Der Verstellhebel dazu ist unterhalb des Scheinwerfers am Lampenring angebracht.



5.3.10.2 Austausch des Tachometers

nächster Punkt ; Inhaltsverzeichnis

Das Tachometer der ES-Typen ist im Scheinwerfergehäuse untergebracht. Der Antrieb erfolgt über eine Tachometerspirale, die die Verbindung zwischen Tachometer und Tachometerantrieb herstellt. Das Tachometer ist beleuchtet durch zwei Glühbirnen 6 V 0,6 W, die ein gleichmäßiges Flutlicht über die gesamte Skala verbreiten. Außerdem sind die Kontrollampen für Leerlaufanzeige und Lichtmaschinenkontrolle eingebaut, die mit einer Leistung von 6 V 1,2 W ausgerüstet sind.



Ausbau:
  1. Die Klemmschraube des Reflektors rechts unten am Scheinwerfergehäuse wird gelockert und der Reflektor, mit der unteren Kante zuerst, dem Scheinwerfergehäuse entnommen. Die Spange zum Halten der Lampenfassung muß vorher entfernt und die Fassung aus dem Reflektor herausgenommen werden.
  2. Die Überwurfmutter der Tachometerspirale ist mit einer Zange zu lockern und abzuschrauben. Die Spirale wird nun etwas nach unten gedrückt, um besser arbeiten zu können.
  3. Alle 4 Fassungen mit den Glühlampen für Tachobeleuchtung und Kontrolleuchten sind aus den Führungen herauszuziehen und seitlich abzulegen (Achtung, Glühlampen nicht vertauschen!). Nun kann die Haltemutter des Haltebügels gelöst werden.
  4. Das Tachometer läßt sich nach oben aus dem Schweinwerfergehäuse herausnehmen.


5.3.10.3 Lichtschalteranschlüsse

nächster Punkt ; Inhaltsverzeichnis

Nummer 57 Standlichtkabel (schwarz)
Nummer 30 Kabel zum Klemmbrett (Sicherung) rot/grün
Nummer 58 Rücklichtkabel (grau/schwarz)
Nummer 31 Massekontakt zum Reflektor (schwarz, angelötet)
Nummer 54/15 Stopplicht (schwarz/rot)
  Kabel zu den Kontrollampen (schwarz/weiß/blau)
  Kabel zur Zündspule (schwarz/weiß/blau)
  Kabel für Schaltstellung 5 (grün)
Nummer 61 kein Kabel angeschlossen
Nummer 56 Kabel zur Tachobeleuchtung (rot/schwarz)


Bild 110. Lichtschalteranschlüsse



5.3.10.4 Schaltplan

nächster Punkt ; Inhaltsverzeichnis

Bild 111. Schaltplan (hier vergrößerte Darstellung)



5.3.10.5 Batterie, Aus- und Einbau, Pflegeanweisung

nächster Punkt ; Inhaltsverzeichnis

Die Batterie ist der Stromspeicher, der alle Verbraucher des Motorrades mit Strom versorgt. Während der Fahrt wird durch die Lichtmaschine der entnommene Strom wieder ergänzt. Die gleichmäßige Ladespannung wird durch den Regler hergestellt.

Die Anforderungen, die an eine Batterie gestellt werden, sind sehr hoch. Aus diesem Grunde ist es unerläßlich, der Batterie eine regelmäßige und sorgfältige Pflege zukommen zu lassen. Ganz besondere Beachtung muß dem Ladezustand der Batterie im Winter geschenkt werden, denn bei Temperaturen unter Null sinkt die Kapazität der Batterie stark ab.

In nicht voll geladenem Zustand besteht dann die Gefahr des Einfrierens. Bei stark entladener Bleibatterie friert die Säure schon bei etwa - 15° C ein.

Da in absehbarer Zeit auch Nickel-Kadmium-Batterien in Motorräder eingebaut werden, sollen an dieser Stelle die Pflegeanweisungen für beide Arten niedergelegt werden.



Ausbau der Batterie:
  1. Der Deckel der linken Verkleidung, bzw. der linke Verkleidungsdeckel bei der ES 175, werden abgenommen.
  2. Um Kurzschlußgefahr zu beseitigen, ist die Sicherung aus dem Klemmbrett zu entnehmen.
  3. Das Plus- und das Minuskabel der Batterie am Klemmbrett lösen.
  4. Die Halteschraube des Batteriehaltebandes ist aufzuschrauben und die Batterie aus dem Halter zu entnehmen (Kabel der Batterie nicht zusammentreffen lassen! Kurzschlußgefahr!).


Pflegeanweisung für Bleisammler

Der 6 Volt-Bleisammler hat eine Speicherfähigkeit von 8Amperestunden(Ah). Die Säuredichte des geladenen Sammlers beträgt 1,285 Be, die des halbgeladenen Sammlers 1,230 Be und die des entladenen Sammlers 1,180 Be. Gemessen wird die Säuredichte mit einem Aräometer.

Alle 2000 km, oder mindestens alle 4 Wochen ist der Säurestand der Batterie zu überprüfen. Die Säure soll 8 ... 10 mm über den Platten stehen. Gegebenenfalls ist destilliertes Wasser nachzufüllen. Im Sommer ist es zweckmäßig, diese Kontrolle öfter durchzuführen (Verdunstung).

Wird vorwiegend nachts gefahren, dann ist es ratsam, die Batterie von Zeit zu Zeit an einer fremden Stromquelle (Ladestation) aufladen zu lassen. Dasselbe gilt bei geringer Benutzung der Maschine oder bei Stillegung. Soll die Maschine abgestellt werden, so ist die Batterie auszubauen und etwa alle 4 Wochen an der Ladestation aufzuladen.



Pflege und Beschreibung der Nickel-Kadmium-Motorrad-Batterie

Die Nickel-Kadmium-Batterie ist eine alkalische Motorradbatterie mit einer Nennspannung von 6 Volt und einer Kapazität von 8 Ah. Die Batterie setzt sich aus 5 Zellen mit je 1,2 Volt Nennspannung zusammen. In jeder Zelle befinden sich eine negative und zwei positive Elektroden. Als Elektrolyt dient Kalilauge von der Wichte 1,20 g/ccm, mit einem Zusatz von 8 g/l Litiumhydroxyd. Das Gehäuse besteht aus schlagsicherem Kunststoff.

Der Wirkungsgrad und die Wartung einer alkalischen Motorradbatterie sind dieselben, wie bei den üblichen Nickel-Kadmium-Batterien.

Der Spiegel der Kalilauge soll immer ca. 10 mm über den Plattenoberkanten stehen. Ist das nicht der Fall, dann verliert die wirksame Masse der Platten ihre Aktivität und wird ausgeschwemmt. Tritt ein Verlust der Kalilauge durch Verdunsten ein, dann ist destilliertes Wasser oder stark verdünnte Kalilauge Wichte l,03 g/ccm nachzufüllen. Mit Kalilauge Wichte l,20 g/ccm ist nur dann nachzufüllen, wenn Elektrolyt verschüttet worden ist.

Niemals darf Schwefelsäure in die Batterie gefüllt werden. Eine völlige Zerstörung der Batterie wäre die unmittelbare Folge. Ebenso ist kein angesäuertes destilliertes Wasser zu verwenden. Aus diesem Grunde sind zum Füllen der Nickel-Kadmium-Batterien besondere Gefäße zu verwenden (Trichter, Aräometer usw.). Die Ladung dieser Sammler muß in einem besonderen Raum, getrennt von Bleiakkumulatoren vorgenommen werden. Eine Einwirkung von Schwefelsäuredämpfen ist unter allen Umständen zu vermeiden.

Die Ladung erfolgt wie bei der Bleimotorradbatterie durch die Lichtmaschine. Wenn die Kapazität der Batterie nachgelassen hat, erfolgt eine verlängerte Ladung am Ladegerät. Es wird 15 Stunden mit 1,6 Amp. geladen. Am Ende der Ladezeit steigt die Spannung auf ca. 6,5 Volt an. Nach langem Stehen ist die Batterie verlängert zu laden.

Die Einstellung des Reglers der Maschine wird wie beim Bleiakkumulator beibehalten.



Bild 112. Blei-Sammler und Nickel-Kadmium-Sammler



5.3.11 Schmierung und Pflege des Fahrgestells

5.3.11.1 Schmierplan

nächster Punkt ; Inhaltsverzeichnis

Schmierstellen werden durch Zahlen bezeichnet



  Anzahl der Nippel Schmiermittel
l Vorderschwinge 1
Motorenöl
2 Hinterschwinge 1
"
3 Bremsfußhebel 1
Abschmierfett
4 Bremshebel hinten 1
"
5 Bremshebel vorn 1
"
6 Tachometerantrieb 1
"
7 Kettenölung 1 Stopfen
"
8 Getriebeöl 1100 ccm
"
9 Motorschmierung Benzin-Öl-Mischung
25 : 1


Bild 113

Bild 114

Bild 113. ES Ansicht von rechts Bild 114. ES Ansicht von links
1 Vorderschwinge; 2 Hinterschwinge; 3 Bremsfußhebel; 4 Bremshebel hinten; 5 Bremshebel vorn; 6 Tachometerantrieb; 7 Kettenölung; 8 Getriebeöl; 9 Motorschmierung



5.3.11.2 Werkzeug und Zubehör

nächster Punkt ; Inhaltsverzeichnis

Jede ES-Maschine bekommt, wenn sie das Werk verläßt, eine reichhaltige Ausstattung an Werkzeugen und Zubehör mit. Der Fahrer ist in der Lage. mit dem beigegebenen Werkzeug alle normal anfallenden kleinen Reparaturen und Pflegearbeiten durchzuführen. Das Werkzeug wird in den reichlich bemessenen Behältern unter Fahrer- und Soziussattel untergebracht.



Werkzeuge:
  1. 1 Einstell-Lehre 0,4und 0,6mm
  2. 1 Hochdruckfettpresse
  3. 1 Doppelmaulschlüssel 9 x 10mm
  4. 1 Doppelmaulschlüssel 10 x 11 mm
  5. 1 Doppelmaulschlüssel 14 x 17 mm
  6. 1 Doppelmaulschlüssel 19 x 22 mm
  7. 1 Zylinderkopfschlüssel (Steckschlüssel 14 mm)
  8. 1 Drehbolzen für Zylinderkopfschlüssel und für Radausbau
  9. 1 Zündkerzenschlüssel
  10. 2 Reifenmontierhebel
  11. 1 Schraubenzieher (groß)
  12. 1 Schraubenzieher (klein)
  13. 1 Kombinationszange
  14. 1 Hakenschlüssel 45/50 DIN 1810


Bild 115. Werkzeug



Zubehör:
  1. 1 Luftpumpe (Halter unter dem Kraftstoffbehälter)
  2. 3 Sicherheitsschlösser (Schlüssel für alle drei Schlösser sind gleich)
  3. 1 Putztuch
  4. 1 Reparaturdose für Reifen
  5. 1 Werkzeugtasche
  6. 1 Zündschlüssel
  7. 1 Betriebsanleitung
  8. 1 Durchprüfungsheft
  9. 1 Verbandskästchen


5.3.11.3 Pflegeanweisung für MZ-Motorräder (ES-Typen)

nächster Punkt ; Inhaltsverzeichnis

Sorgfältige Pflege gewährleistet neben richtiger Bedienung die dauernde Betriebsbereitschaft des Motorrades. Hohe Lebensdauer und Zuverlässigkeit sind der Lohn für regelmäßig durchgeführte Fahrzeugpflege.

Bis zu 10000 km schreibt das Werk die durchzuführenden Pflegearbeiten im Durchprüfungsheft vor. Diese Arbeiten sind in einer Vertragswerkstatt des MZ-Werkes durchzuführen und von dieser zu bescheinigen. Im Durchprüfungsheft jeder Maschine sind die Pflegearbeiten verzeichnet. Werden die vorgeschriebenen Durchprüfungen nicht termingemäß durchgeführt, so erlischt der Anspruch auf Garantieleistung. Trotzdem ist es notwendig, außer den vorgeschriebenen Durchsichten weitere Pflegearbeiten nach der Bedienungsanleitung durchzuführen.



Was wird überprüft und in welchen Abständen? 1. Vor jeder Ausfahrt
  1. Brennstoff,
  2. elektrische Anlage (Licht, Signalhorn),
  3. Spiel am Kupplungshebel (2 ...3 mm),
  4. Reifendruck,
  5. Funktion beider Bremsen.


2. Unterwegs während einer Fahrtpause

Reifenzustand (Reifentemperatur, Luftdruck, eingefahrene Nägel).

3. Nach der Rückkehr
  1. Reifen überprüfen (Druck, eingefahrene Nägel).
  2. Luftfilter säubern (vor allen Dingen nach Strecken über 500 km und bei staubigem Wetter).
  3. Je nach der Witterung bei der gefahren wurde, wird empfohlen, das Rad vom Schmutz zu befreien. Die Lackierung und die verchromten Teile werden es danken, wenn sie eine regelmäßige Pflege erfahren. Grober Schmutz wird am besten mit einem schwachen Wasserstrahl abgewaschen. Dabei nicht an den heißen Zylinder oder an Teile der elektrischen Anlage spitzen.
    Danach wird das Rad abgetrocknet und die Lackierung mit einem guten Lackpflegemittel behandelt. Verchromte Teile sind mit Vaseline einzufetten.
  4. Nach dem Abstellen des Rades Kraftstoffhahn schließen, damit bei der nächsten Fahrt keine Startschwierigkeiten entstehen.


4. Nach den ersten 500 km (Vertragswerkstatt)
  1. Motorrad probefahren und Bremsen prüfen.
  2. Lenkungsspiel am Steuerkopf prüfen (dazu Lenkungsdämpfer lösen).
  3. Kupplungsspiel prüfen (2 ...3 mm am Handhebel).
  4. Alle Schrauben am Motor und am Fahrgestell auf festen Sitz prüfen (Motoraufhängung, alle Bedienungshebel, vordere und hintere Schwinge, Steckachse, Kotflügelbefestigung, vorderen und hinteren Bremshebel).
  5. Kette nachspannen, Räder spuren. Kette ölen, Kettenschutzschläuche mit Fett füllen.
  6. Batterie-Säurestand prüfen, evtl. destilliertes Wasser nachfüllen.
  7. Reifendruck kontrollieren:
    vorn 1,4 atü
    hinten 1,6 atü
    hinten 2,0 atü mit Sozius.
  8. Vordere und hintere Schwinge überprüfen. Seitenspiel der Schwingachsen prüfen und nachstellen. Die Schwingen müssen spielfrei sein.
  9. Motorrad probefahren und auf Verkehrssicherheit überprüfen.


5. Nach 900 ... 1000 km ( Vertragswerkstatt)
  1. Motorrad probefahren, Bremsen prüfen, evtl. nachstellen.
  2. Kraftstoffhahn reinigen.
  3. Kerze prüfen (Elektrodenabstand bei Isolatorkerzen 0,6 mm).
  4. Motorrad abschmieren (6 Schmiernippel).
  5. Reifendruck kontrollieren:
    vorn 1,4 atü
    hinten 1,6 atü
    hinten 2,0 atü mit Sozius.
  6. Motorrad probefahren und auf Verkehrssicherheit überprüfen.


6. Nach 1800 ... 2000 km (Vertragswerkstatt)
  1. Motorrad probefahren, Bremsen prüfen, evtl. nachstellen.
  2. Kupplung prüfen, evtl. nachstellen.
  3. Vergaser und Kraftstoffhahn reinigen. Im Vergaser Düsen nachsehen, Nadeldüse auf festen Sitz überprüfen.
  4. Zylinderkopf abbauen, Ölkohle am Zylinderkopf und Kolbenboden, sowie an den Auslaßschlitzen entfernen.
  5. Luftfilter in Benzin auswaschen, danach mit Öl benetzen und abtropfen lassen.
  6. Unterbrecherkontakt mit Kontaktfeile säubern. Kontaktabstand 0,4 mm. Schmierfilz am Unterbrechernocken mit l ... 2 Tropfen Öl tränken.
  7. Kette ölen, Kettenschutzschläuche mit Fett füllen.
  8. Motorrad abschmieren, 6 Schmiernippel. Für vordere und hintere Schwinge nur Öl verwenden.
  9. Vorder- und Hinterrad ausbauen, Kugellager mit Kugellagerfett versehen.
  10. Ölstand im Getriebe kontrollieren (evtl. nachfüllen bis zur Höhe der Ölkontrollschraube am Kupplungsdeckel).
  11. Batterie-Säurestand prüfen, evtl. destilliertes Wasser nachfüllen.
  12. Reifendruck kontrollieren:
    vorn 1,4 atü
    hinten 1,6 atü
    hinten 2,0 atü mit Sozius.
  13. Alle Schrauben am Fahrgestell und am Motor auf festen Sitz prüfen (Zylinderkopf, Motoraufhängung, alle Bedienungshebel, vordere und hintere Schwinge, Steckachse, Kotflügelbefestigung, vorderen und hinteren Bremshebel).
  14. Motorrad probefahren und auf Verkehrssicherheit überprüfen.
  15. Zylinderkopfmuttern nachziehen.


7. Nach 5000 km (Vertragswerkstatt)
  1. Motorrad probefahren und Bremsen prüfen, evtl. nachstellen.
  2. Kupplung prüfen, evtl. nachstellen (2 ... 3 mm am Handhebel).
  3. Auspufftopf demontieren und säubern.
  4. Zylinderkopf abbauen, Ölkohle am Zylinderkopf und Kolbenboden, sowie in den Auslaßschlitzen entfernen.
  5. Vergaser und Wassersack am Kraftstoffhahn säubern. Luftfilter mit Benzin auswaschen, mit Öl benetzen und abtropfen lassen.
  6. Ölstand im Getriebe kontrollieren (Öl muß bis zur Höhe der Kontrollschraube im Kupplungsdeckel stehen).
  7. Motorrad abschmieren, 6 Schmiernippel (für vordere und hintere Schwinge nur Öl verwenden).
  8. Unterbrecherkontakt kontrollieren, Abstand 0,4 mm. Schmierfilz am Unterbrechernocken mit l ... 2 Tropfen Öl versehen.
  9. Kettendurchhang prüfen, evtl. nachstellen und Räder neu einspuren.
  10. Batterie-Säurestand prüfen, evtl. destilliertes Wasser nachfüllen.
  11. Alle Schrauben am Fahrgestell und am Motor auf festen Sitz prüfen (Zylinderkopf, Motoraufhängung, alle Bedienungshebel, vordere und hintere Schwinge, Steckachse, Kotflügelbefestigung, vorderen und hinteren Bremshebel).
  12. Reifendruck kontrollieren:
    vorn 1,4 atü
    hinten 1,6 atü
    hinten 2,0 atü mit Sozius.
  13. Motorrad probefahren und auf Verkehrssicherheit überprüfen.
  14. Zylinderkopfmuttern nachziehen.


8. Nach 7500 km (Vertragswerkstatt)
  1. Ölstand im Getriebe kontrollieren (bis zur Höhe der Kontrollschraube im Kupplungsdeckel auffüllen).
  2. Motorrad abschmieren, 6 Schmiernippel (für vordere und hintere Schwinge nur Öl zum Abschmieren verwenden).
  3. Kette ölen, Kettenschutzschläuche mit Fett füllen.
  4. Reifendruck kontrollieren:
    vorn 1,4 atü
    hinten 1,6 atü
    hinten 2,0 atü mit Sozius.
  5. Luftfilter in Benzin auswaschen, danach mit Öl benetzen und abtropfen lassen.
  6. Zündkerze kontrollieren (Elektrodenabstand 0,6 mm).
  7. Motorrad probefahren und auf Verkehrssicherheit überprüfen.


9. Nach 10000 km (Vertragswerkstatt)
  1. Motorrad probefahren und Bremsen überprüfen, evtl. nachstellen.
  2. Öl im Getriebe wechseln (Neufüllung 1100 ccm Motorenöl).
  3. Kettendurchhang prüfen, Kette nachstellen und ölen, Kettenschutzschläuche mit Öl füllen.
  4. Auspufftöpfe demontieren und säubern.
  5. Zylinderkopf und Zylinder abnehmen; Ölkohle am Zylinderkopf und Kolbenboden, sowie in den Auslaßschlitzen entfernen.
  6. Kerze säubern (Elektrodenabstand 0,6 mm). Bei starker Abnutzung ist die Kerze gegen eine neue Kerze auszutauschen.
  7. Vergaser reinigen, ebenso den Wassersack am Kraftstoffhahn.
  8. Im Vergaser Düsen nachziehen, Nadeldüse auf festen Sitz prüfen.
  9. Luftfilter in Benzin auswachsen, mit Öl benetzen und abtropfen lassen.
  10. Motorrad abschmieren, 6 Schmiernippel. Gasdrehgriff am Lenker nehmen und Schieber neu einfetten. Für vordere und hintere Schwinge nur Öl zum Abschmieren verwenden.
  11. Unterbrecherkontakt kontrollieren, Abstand 0,4 mm. Schmierfilz am Unterbrechernocken mit l ... 2 Tropfen Öl tränken.
  12. Batterie-Säurestand prüfen, evtl. destilliertes Wasser nachfüllen.
  13. Alle Schrauben am Motor und am Fahrgestell auf festen Sitz überprüfen.
  14. Vorder- und Hinterrad ausbauen. Alle Kugellager mit Kugellagerfett versehen.
  15. Lenkungsspiel am Steuerkopf prüfen, dazu Lenkungsdämpfer lösen.
  16. Reifendruck kontrollieren:
    vorn 1,4 atü
    hinten 1,6 atü
    hinten 2,0 atü mit Sozius.
  17. Motorrad probefahren und auf Verkehrssicherheit überprüfen.
  18. Zylinderkopfmuttern nachziehen.


5.3.12 Lenker und Bowdenzüge

5.3.12.1 Ausbau einer Lenkerhälfte

nächster Punkt ; Inhaltsverzeichnis

Der Lenker der ES-Typen besteht aus 2 Hälften, die von rechts und links in den Klemmkopf eingeschoben und dort mit 2 Sechskantschrauben 8 x 30 befestigt sind. Eine Verstellmöglichkeit für den Lenker nach oben oder nach unten gibt es nicht.

Soll eine Lenkerhälfte gewechselt werden, so hängt man zuerst alle an der zu wechselnden Seite befindlichen Bowdenzüge aus. Dann entfernt man die Halteschraube der entsprechenden Lenkerhälfte. Der Lenker läßt sich nun aus dem Klemmkopf herausziehen.

Beim Einbau muß die Lenkerhälfte so gedreht werden, daß die eingefräste Nut mit der Schraubenbohrung in einer Richtung verläuft. Ist die Halteschraube befestigt worden, hat auch der Lenker seine richtige Stellung.



5.3.12.2 Bowdenzüge ersetzen

nächster Punkt ; Inhaltsverzeichnis

Zum Auswechseln der Bowdenzüge werden die Nippel an den Handhebeln bzw. am Drehgriff ausgehängt. Das gleiche gilt für die Gegenseite, d. h. für die Befestigung der Bowdenzüge an Kupplung, Vergaser und Vorderradbremse. Ist die Hülle der Bowdenzüge am Rahmen befestigt, wird diese Befestigung ebenfalls gelöst und dann der gesamte Seilzug abgenommen.

Beim Einbau ist darauf zu achten, daß nur passende Bowdenzüge (Originalersatzteile) Verwendung finden und das Bowdenzugseil genügend Spiel in der Hülle hat, weil bei zu knappem Spiel der Bowdenzug zu schwer gehen würde und ein erheblicher Kraftaufwand bei der Bedienung erforderlich wäre.

In die ES-Modelle werden Bowdenzüge mit folgenden Abmessungen eingebaut:



 
ES 250
ES 175
Bowdenzug Seil Hülle Seil Hülle
Kupplung 2 x 1010 3 x 880 2 x 1010 3 x 880
Handbremse 2 x 1150 3 x 970 2 x 1150 3 x 970
Gas 1,6 x 980 2,5 x 893 1,6 x 980 2,5 x 893
Luft 1,6 x 985 2,5 x 870 1,6 x 985 2,5 x 870


Beim Einbau eines neuen Bowdenzuges beachte man folgendes:

  1. Handhebel untersuchen, ob scharfe Kanten oder Grat vorhanden sind (evtl. abrunden).
  2. Die Einhängestellen für die Bowdenzugnippel sind leicht einzuölen.
  3. Vor dem Einbau ist der Bowdenzug selbst mit Öl abzuschmieren.
  4. Seilzug einhängen.
  5. Nach Einstellen des Seilzuges ist die Seilzughülle so zu verlegen, daß beim Durchfedern der Vordergabel bzw. beim Einschlagen des Lenkers der Bowdenzug nicht gequetscht oder gezogen werden kann.


5.3.12.3 Zerlegen des Gasdrehgriffes

nächster Punkt ; Inhaltsverzeichnis

  1. Durch die vorhandene Öffnung am Ende des Drehgriffes wird mit einem Schraubenzieher die Schlitzschraube entfernt, welche den Abschlußpilz im Lenkerrohr festhält.
  2. Der Abschlußpilz wird aus dem Lenkerende herausgezogen.
  3. Durch Rechtsdrehung läßt sich der Drehgriff vom Lenkerende abnehmen.
  4. Zum Aushängen des Bowdenzuges wird der Schieber des Drehgriffes mit dem Schraubenzieher etwas zurückgezogen und nach oben gekippt. In dieser Stellung kann der Nippel des Gasbowdenzuges leicht aus dem Schieber entnommen werden.
  5. Das vordere Stück des Drehgriffes ist mit einer Madenschraube auf dem Lenkerrohr festgeklemmt. Gegenüber dieser Madenschraube befindet sich eine Stellschraube, neben der die Bezeichnung 'Bremse' eingeschlagen ist. Mit dieser Schraube läßt sich die Gangbarkeit des Drehgriffes regulieren, d. h. Rechtsdrehung ergibt einen schwereren, Linksdrehung einen leichteren Gang des Drehgriffes.


5.3.13 Beiwagenanschluß

Inhaltsverzeichnis

Die ES 250 ist für Beiwagenbetrieb geeignet. Von der Firma Stoye in Leipzig wird ein Schwingenbeiwagen speziell für ES-Modelle gefertigt Dieser besitzt einen Dreipunktanschluß. Besonders bemerkenswert bei diesem Beiwagentyp ist, daß außerdem die Schwinge der Maschine mit der Beiwagenschwinge in Verbindung steht. Diese Verbindung wird mit Silentlagern hergestellt. Beim Kurvenfahren entsteht so eine außerordentliche Seitenstabilität des Gespanns, weil beide Räder (Hinterrad und Beiwagenrad) ständig in einer Ebene gehalten werden. Ein Eintauchen der Maschine in Rechtskurven, oder des Beiwagens in Linkskurven wird durch diese Konstruktion ausgeschaltet.

um den Beiwagen an die ES 250 anschließen zu können, ist es erforderlich, die vordere Schwinggabel der Maschine gegen eine Schwinggabel mit 2 Aufnahmen für die vordere Steckachse auszutauschen. (60mm für Seitenwagenbetrieb, 105mm für Solobetrieb). Dasselbe gilt für die hintere Schwinggabel, die gegen eine Gabel mit Anschlußstück zur Aufnahme eines Silentlagers für die Befestigung der Beiwagenschwinge ausgetauscht wird.

Die Übersetzung der Maschine muß ebenfalls verändert werden. Das Antriebskettenrad mit 20 Zähnen ist gegen ein Antriebskettenrad mit 18 Zähnen auszutauschen.

Der Beiwagen wird am Rahmen der Maschine mit 2 Kugelschnellanschlüssen und einem Bolzenanschluß befestigt. Ein Anschluß ist unter dem Fahrersattel (Bolzenanschluß, die Bohrung dafür ist an der Maschine bereits vorhanden). Ein zweiter Anschluß am oberen Teil des vorderen Rahmenrohrs, dicht unter dem Kraftstoffbehälter (Kugelanschluß, erforderlich dazu ist eine Schelle mit Kugel, die um das vordere Rahmenrohr geschraubt werden muß). Für die dritte Befestigung ist der Lagerbolzen mit angesetzter Kugel zur Aufnahme eines Kugelschnellanschlusses auszutauschen.



Bild 116. Beiwagengespann ES 250



Um einen einwandfreien Lauf des angeschlossenen Beiwagens zu erreichen, ist beim Anschluß folgendes zu beachten:



  1. Vorlauf
  2. Vorspur
  3. Sturz


Vorlauf

Darunter ist die Vorverlegung der Beiwagenachse vor die Hinterachse der Maschine zu verstehen. Der Vorlauf ist notwendig, um vor allen Dingen in Linkskurven die Kippgefahr der Maschine auszuschalten. Er soll 150 bis 200 mm betragen. Ein größerer Vorlauf bedeutet erhöhten Kräfteverbrauch beim Kurvenfahren, während ein kleinerer Vorlauf wiederum die Kippgefahr erhöht. Dieser Wert ist beim ES-Seitenwagen bereits vor der Herstellerfirma fest eingestellt.



Vorspur

Durch die Einstellung der Vorspur auf den vorgeschriebenen Wert wird erreicht, daß das Gespann geradeaus läuft. Man versteht unter Vorspur ein



Bild 117. Gesamtansicht des Gespannes von rechts

Bild 118. Vorspur und Vorlauf



Nachinnenlaufen des Seitenwagenrades. Die Vorspur soll 20 ... 25 mm betragen. Zur Kontrolle legt man eine gerade Latte an das Vorder- und Hinterrad der Maschine an. Eine zweite Latte ist an das Seitenwagenrad anzulegen, und zwar so, daß sie an der Außenkante des Reifens genau anliegt. Jetzt wird der Abstand der Beiden Latten in Höhe des Vorderrades und in Höhe des Hinterrades gemessen. Im Gegensatz zum Maß am Hinterrad muß das Maß am Vorderrad 20 ... 25 mm kleiner sein. Eine Veränderung der Vorspur ist durch seitliches Verschieben der vorderen Befestigung möglich.

Sollte eine Korrektur erforderlich sein, dann muß unter allen Umständen darauf geachtet werden, daß der Beiwagenrahmen nach der Korrektur waagerecht steht. Abweichungen ergeben einen ungleichmäßigen Lauf bzw. ein 'Ziehen' des Beiwagens.

Sturz

Der Sturz ist bei Maschine und Beiwagen erforderlich, um die vorhandene Straßenwölbung auszugleichen. Durch den vorgeschriebenen Sturz vermindert man ein Neigen der Maschine zum Seitenwagen, welches wiederum ein seitliches Ziehen der Maschine zur Folge hat. Der Sturz des Gespanns soll für Maschine und Seitenwagenrad 3 ... 5° betragen. Der Sturz wird in folgender Weise gemessen:

An die obere Felgenkante des Beiwagenrades bzw. des Hinterrades der



Bild 119. Radsturz von Maschine und Beiwagen



Maschine wird ein Lot angelegt. Der Zwischenraum zwischen unterer Felgenkante und Lotschnur soll dann 3 ... 5 mm betragen. Bei dieser Messung muß die Maschine auf waagerechtem Untergrund stehen. Bei Stoye-ES-Seitenwagen ergibt sich der Sturz ebenfalls, es bedarf lediglich eine Überprüfung nach dem Anschluß.

Durch den Anschluß eines Beiwagens an die ES 250 ergeben sich andere Belastungswerte der Federbeine (Beiwagengewicht).

Aus diesem Grund ist es erforderlich, die hinteren Druckfedern in die vorderen Federbeine einzubauen. In die hinteren Federbeine werden verstärkte Druckfedern eingebaut.



Bild 120. Rahmenanschlüsse

Bild 121. Schwingenanschluß

Bild 122. Beiwagen von unten



Auch die Reifendrücke sind entsprechend der Mehrbelastung zu erhöhen.

Reifendrücke für Beiwagenbetrieb:


Vorderrad 1,4 atü
Hinterrad 1,8 atü
mit Soziusfahrer 2,6 atü
Beiwagenrad 1,4 atü

Sind beim Anschluß des Beiwagens alle angeführten Faktoren berücksichtigt worden, dann muß das fertige Gespann einwandfrei geradeaus und ebenso mühelos durch die Kurven gefahren werden können.

Es ist unbedingt erforderlich, den Kunden auf die veränderten Fahreigenschaften seines Fahrzeuges aufmerksam zu machen.

Beim Gespannfahren in den Kurven die Maschine wirklich zu lenken, statt die Maschine mit dem Körpergewicht zu drücken. Bei zu scharfem Lenkeinschlag nach rechts besteht die Möglichkeit, daß der Beiwagen sich vom Boden abhebt. Dieser Eigenart kann man dadurch entgegenwirken, daß man den Motor in einer Rechtskurve ziehen läßt. Bei unbeabsichtigtem Hochkommen des Beiwagens hilft unter Umständen schon eine leichte Gewichtsverlagerung nach dem Beiwagen hin, um das Gleichgewicht wieder herzustellen. In Linkskurven wird das Gas weggenommen, und der Beiwagen läuft dann, durch die eigene Fliehkraft unterstützt, leicht durch die Kurve.

Werden diese Regeln beachtet, schont man die Maschine, vor allem den Rahmen, die Reifen und die Teile der Lenkeinrichtung ganz erheblich.

Beim Bremsen ergeben sich beim Beiwagenbetrieb ebenfalls andere Eigenschaften als bei der Solomaschine. Besonders stark tritt die Fliehkraft des Seitenwagens in Erscheinung, wenn der Seitenwagen belastet ist. Bei scharfem Bremsen mit der Fußbremse hat ein Gespann die Neigung, sich querzustellen. Dieser Eigenart wirkt man durch Gegenlenken entgegen.

Ein Neuling auf dem Beiwagengespann soll sich deshalb nie sofort in dichten Verkehr begeben, sondern erst auf verkehrsarmen Straßen oder Sportplatz mit den veränderten Fahreigenschaften seiner Maschine vertraut werden.

Gespanne haben trotz anderer Übersetzung einen Leistungsabfall von 10 bis 15%, auf der anderen Seite aber einen Verbrauchsanstieg von ebenfalls 10 ...15%.

Inhaltsverzeichnis